Subjects
Online Tutoring
Homework Help
Homework Library
Tutors
Online Classes
More
Bookstore
Blog
Technical Tips
FAQ
Contact Us
Get Help Now
Home
Homework Library
Mathematics
Advanced Math
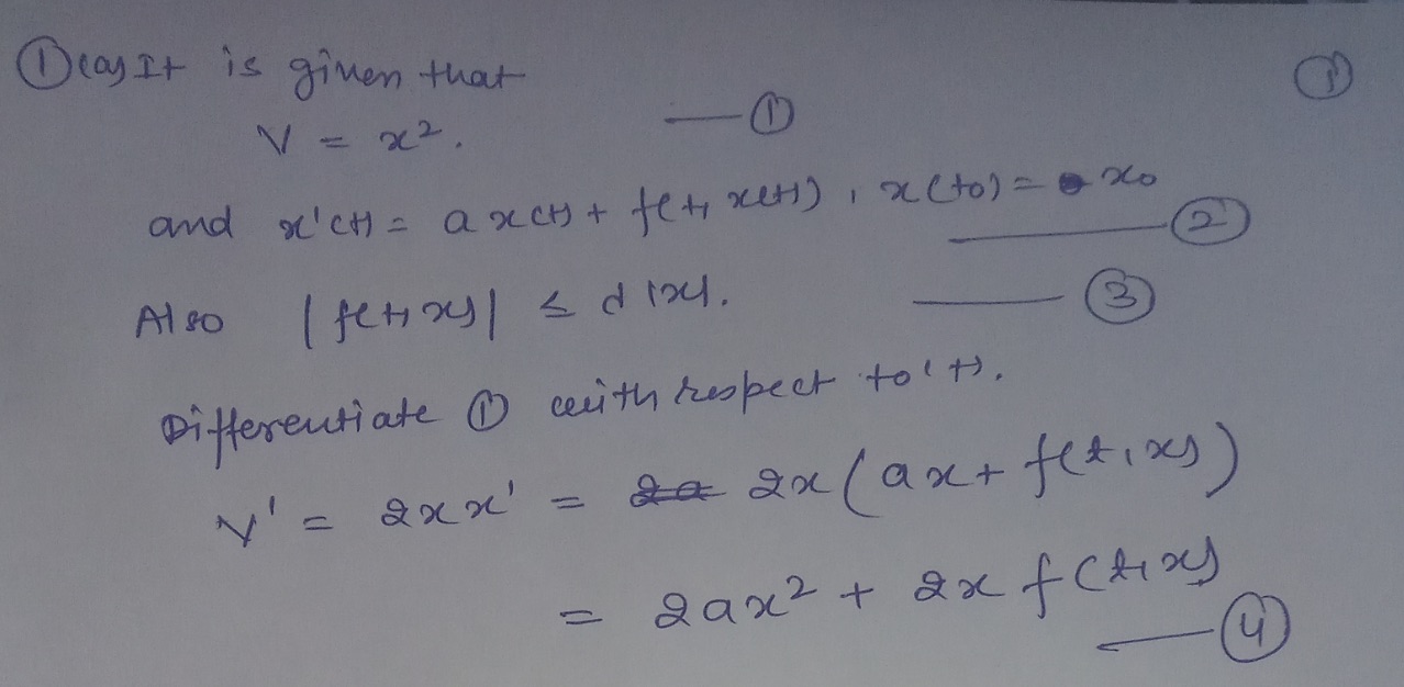
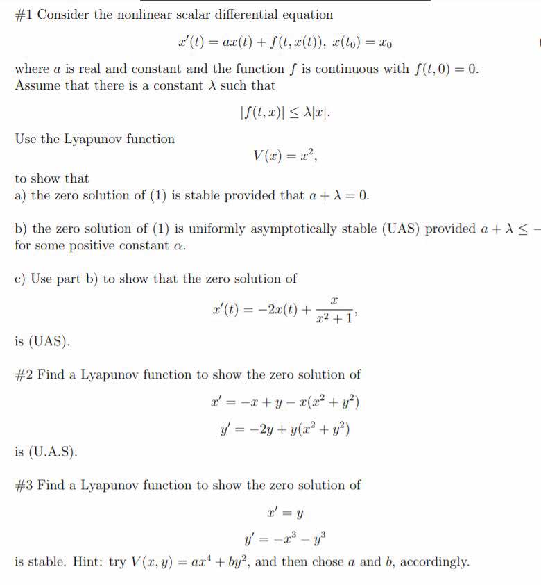
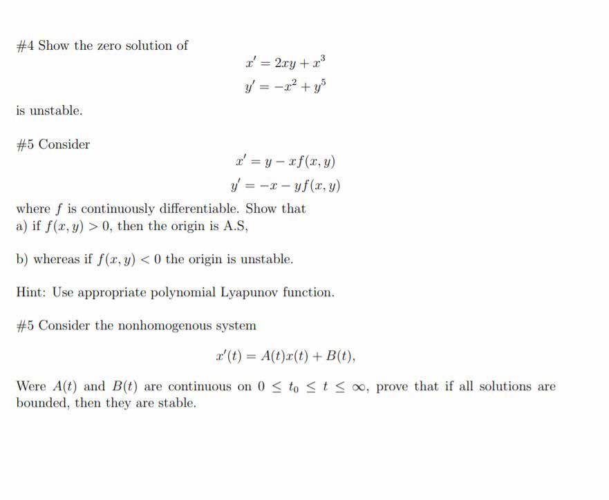
#1 Consider the nonlinear scalar differential equation x'(t) =ax(t...
#1 Consider the nonlinear scalar differential equation x'(t) =ax(t...