Subjects
Online Tutoring
Homework Help
Homework Library
Tutors
Online Classes
More
Bookstore
Blog
Technical Tips
FAQ
Contact Us
Get Help Now
Home
Homework Library
Mathematics
Calculus
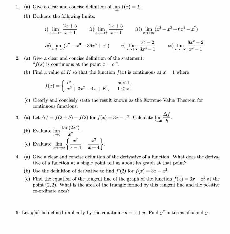
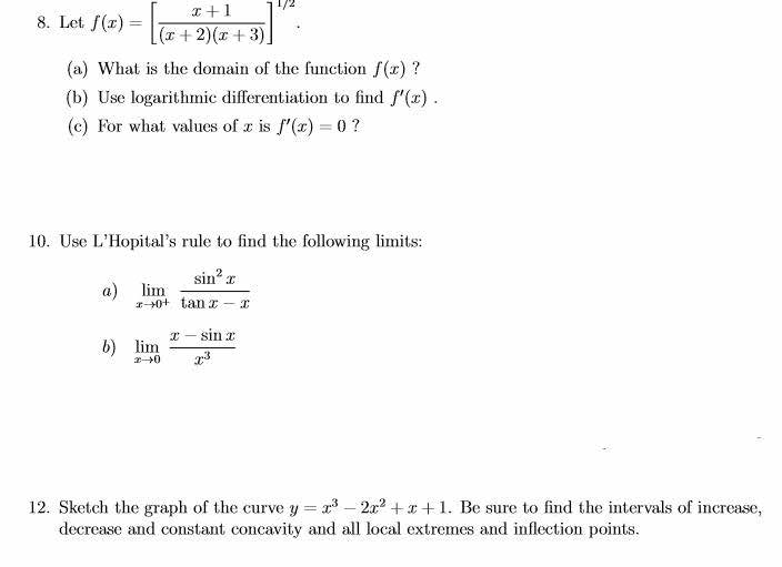
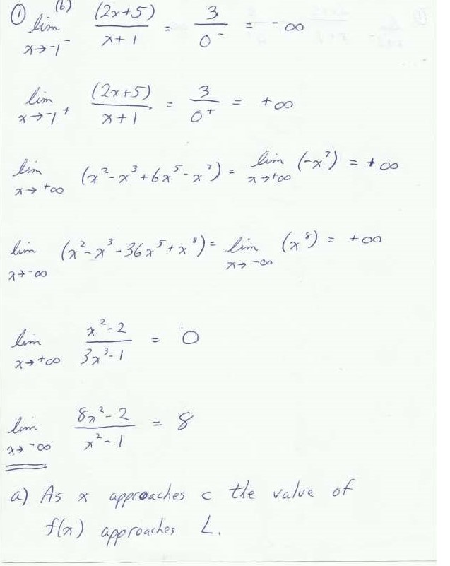
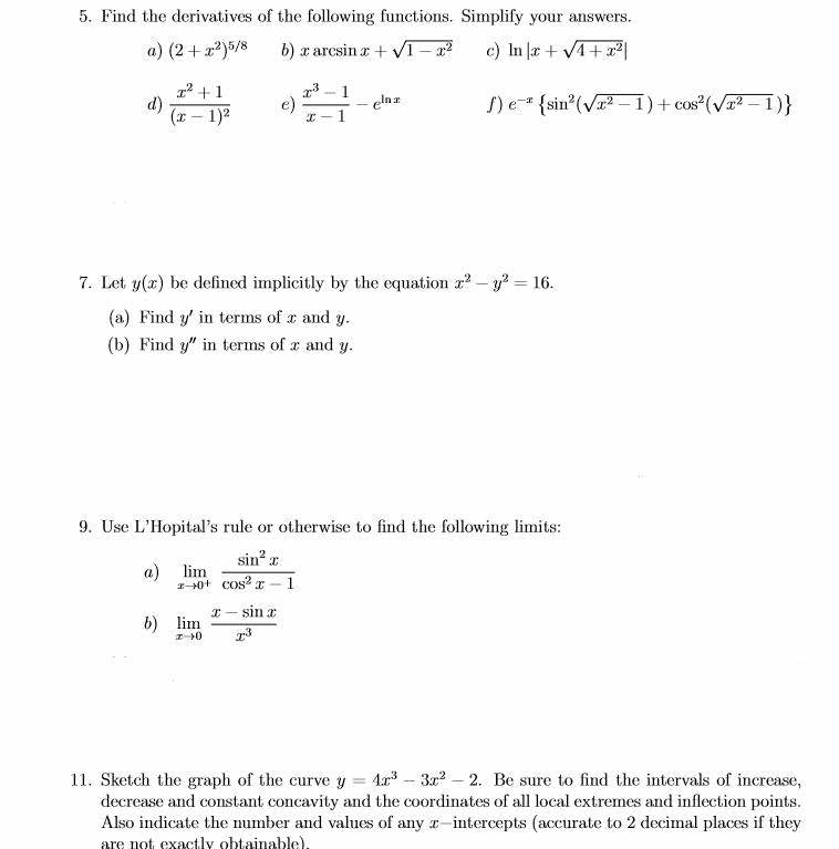
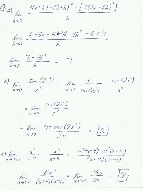
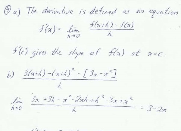
1. (a) Give a clear and concise delinition of L. (b) Evaluate the ...
1. (a) Give a clear and concise delinition of L. (b) Evaluate the...