Subjects
Online Tutoring
Homework Help
Homework Library
Tutors
Online Classes
More
Bookstore
Blog
Technical Tips
FAQ
Contact Us
Get Help Now
Home
Homework Library
Mathematics
Calculus
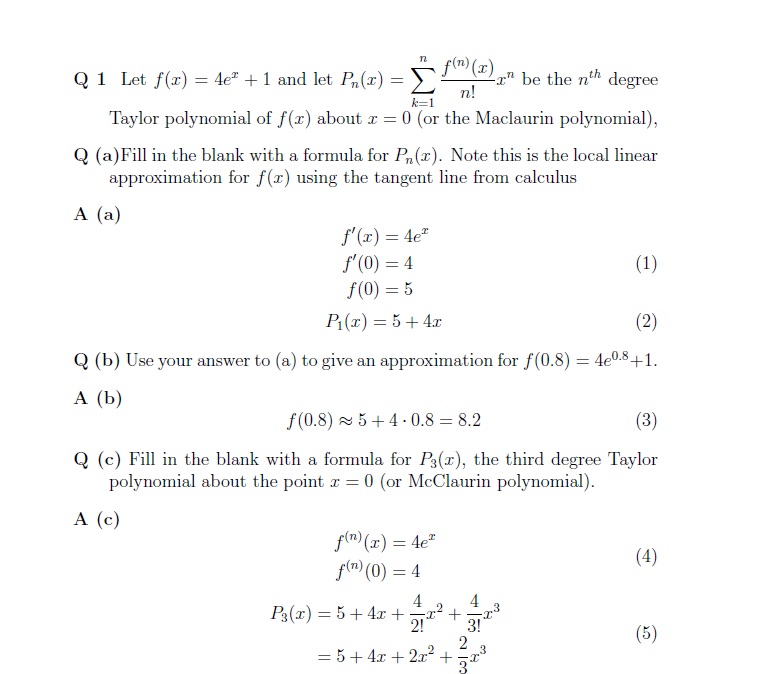
1) Let ð‘“(ð‘¥) = 4ð‘’ð‘¥ + 1 and let ð‘ƒð‘› (ð‘¥) = ∑ ð...