Subjects
Online Tutoring
Homework Help
Homework Library
Tutors
Online Classes
More
Bookstore
Blog
Technical Tips
FAQ
Contact Us
Get Help Now
Home
Homework Library
Mathematics
Calculus
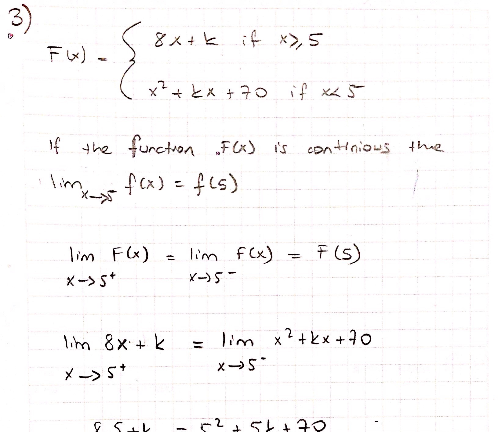
3. F(x)= Find the value of is iff x) is continuous 4. Given the ...
3. F(x)= Find the value of is iff x) is continuous 4. Given the...