Subjects
Online Tutoring
Homework Help
Homework Library
Tutors
Online Classes
More
Bookstore
Blog
Technical Tips
FAQ
Contact Us
Get Help Now
Home
Homework Library
Mathematics
Calculus
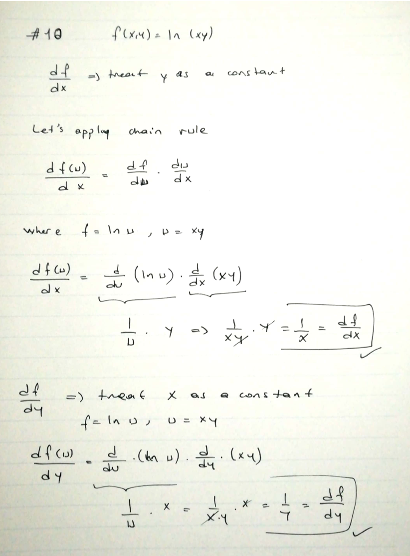
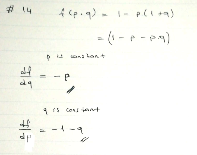
10. f(x,y) = In(xy) of of 14. Let f(p,q) =1-p(1+q). = Find and...
10. f(x,y) = In(xy) of of 14. Let f(p,q) =1-p(1+q). = Find and...