Subjects
Online Tutoring
Homework Help
Homework Library
Tutors
Online Classes
More
Bookstore
Blog
Technical Tips
FAQ
Contact Us
Get Help Now
Home
Homework Library
Mathematics
Calculus
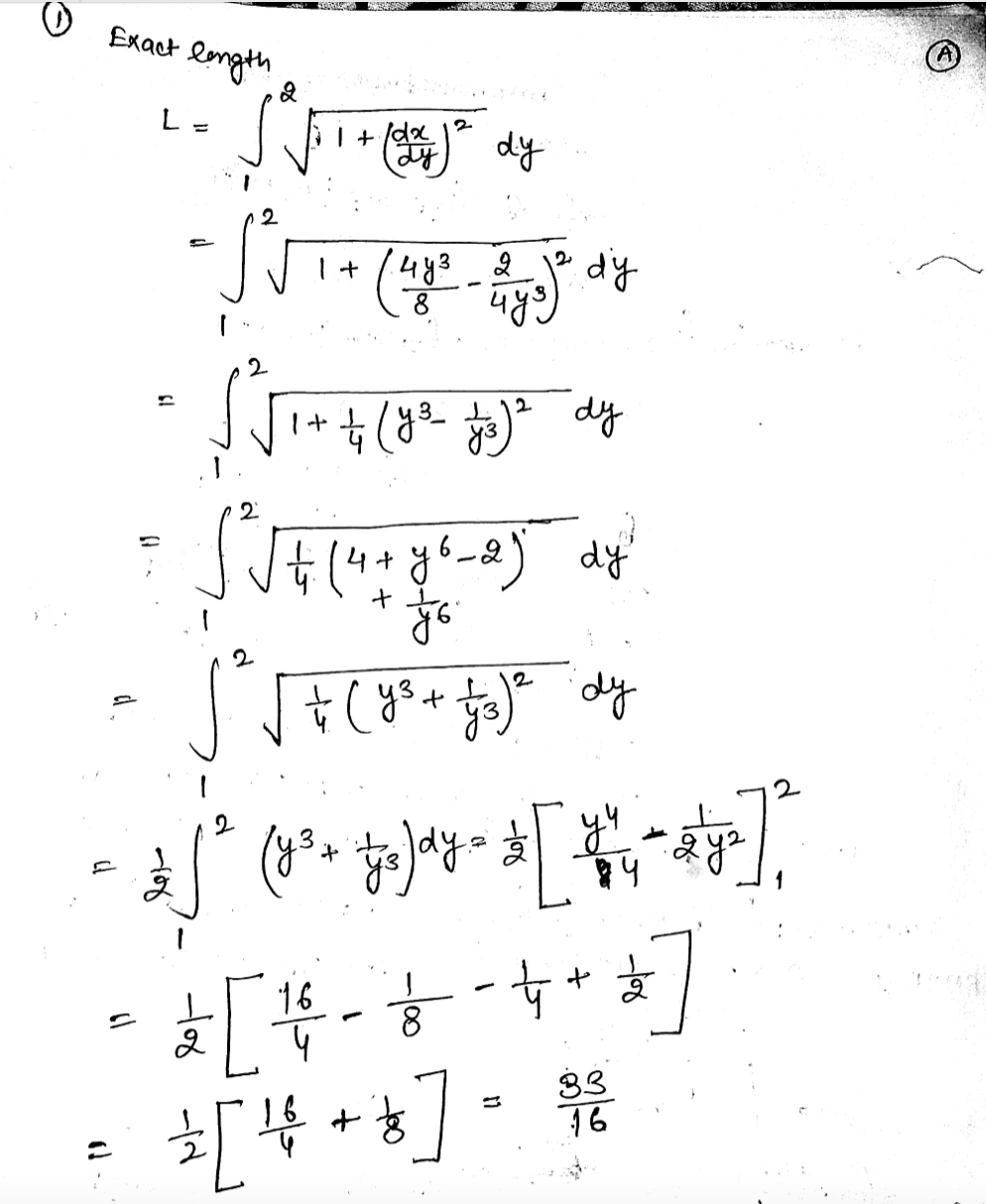
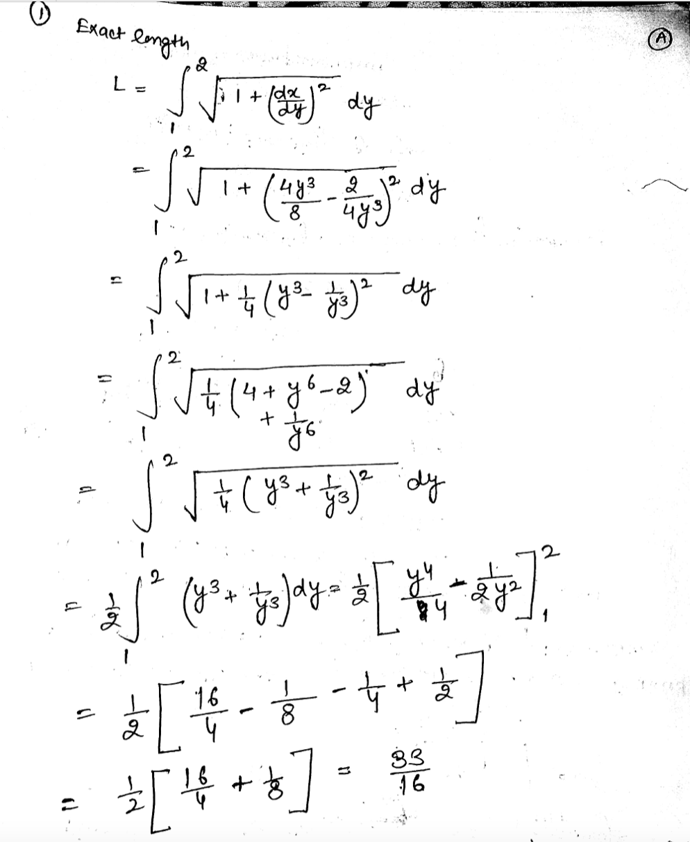
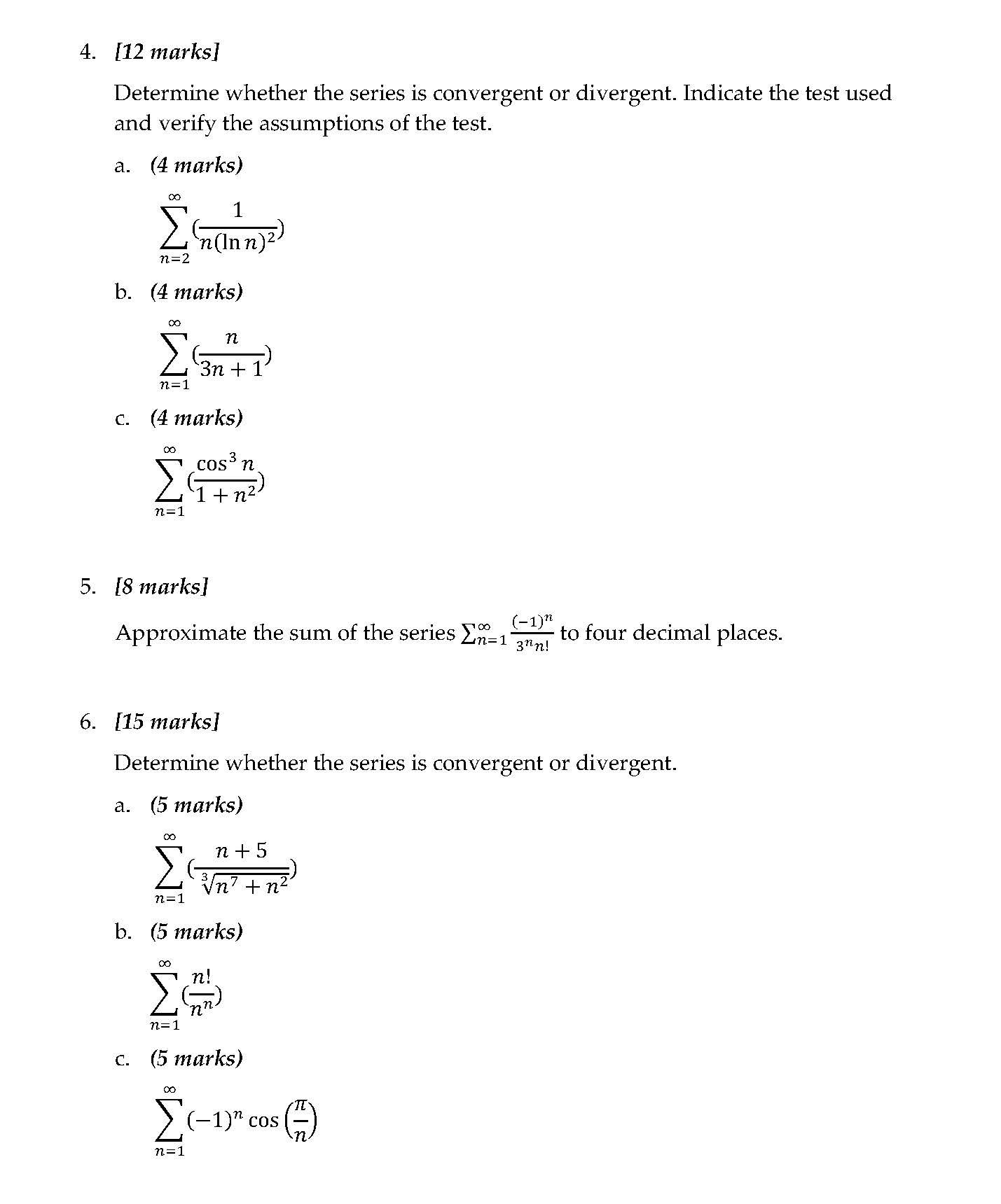
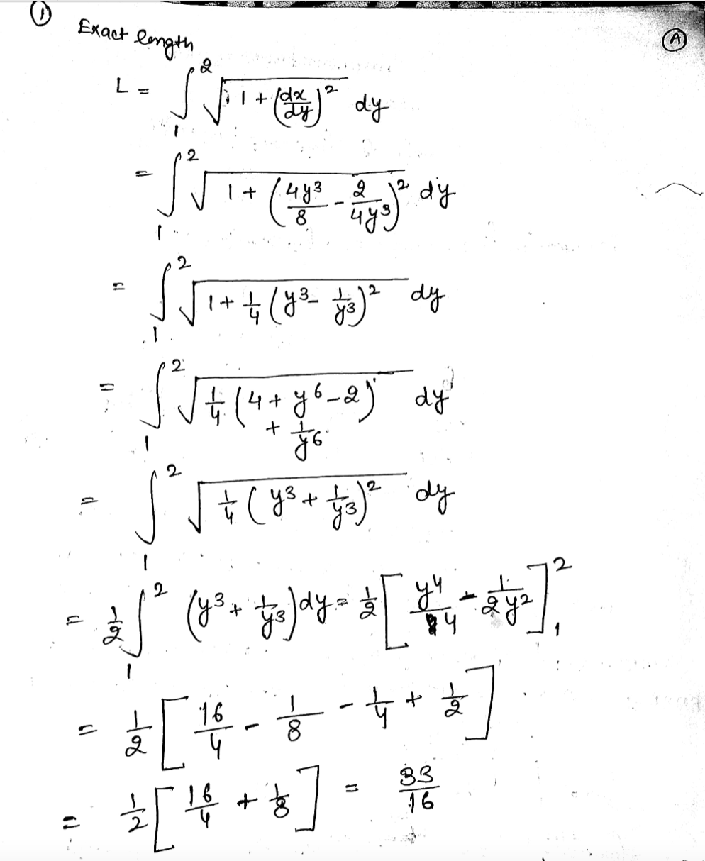
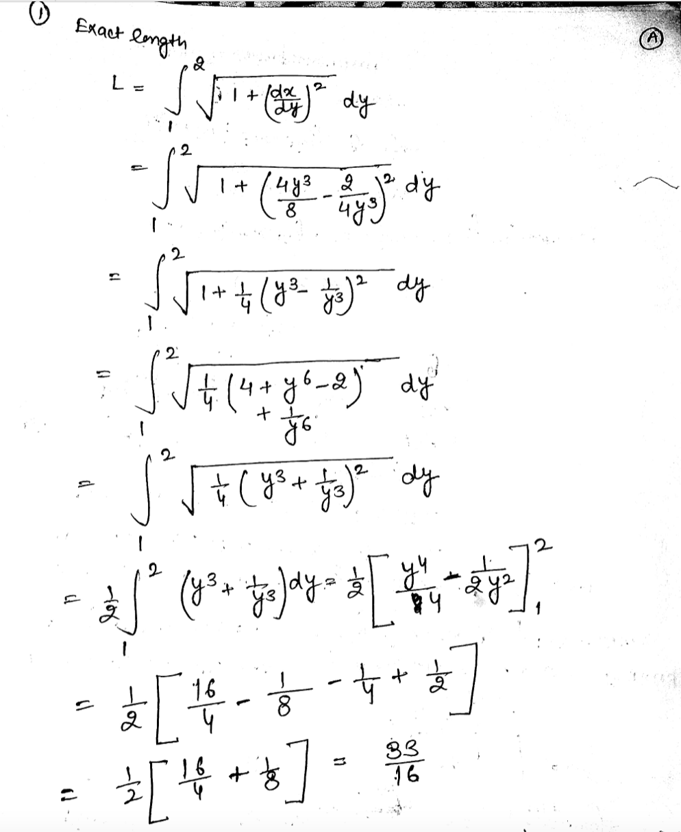
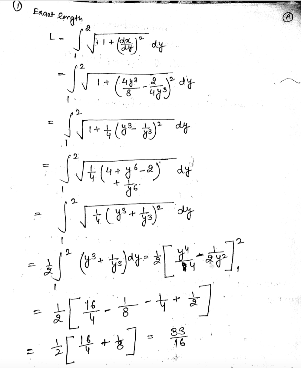
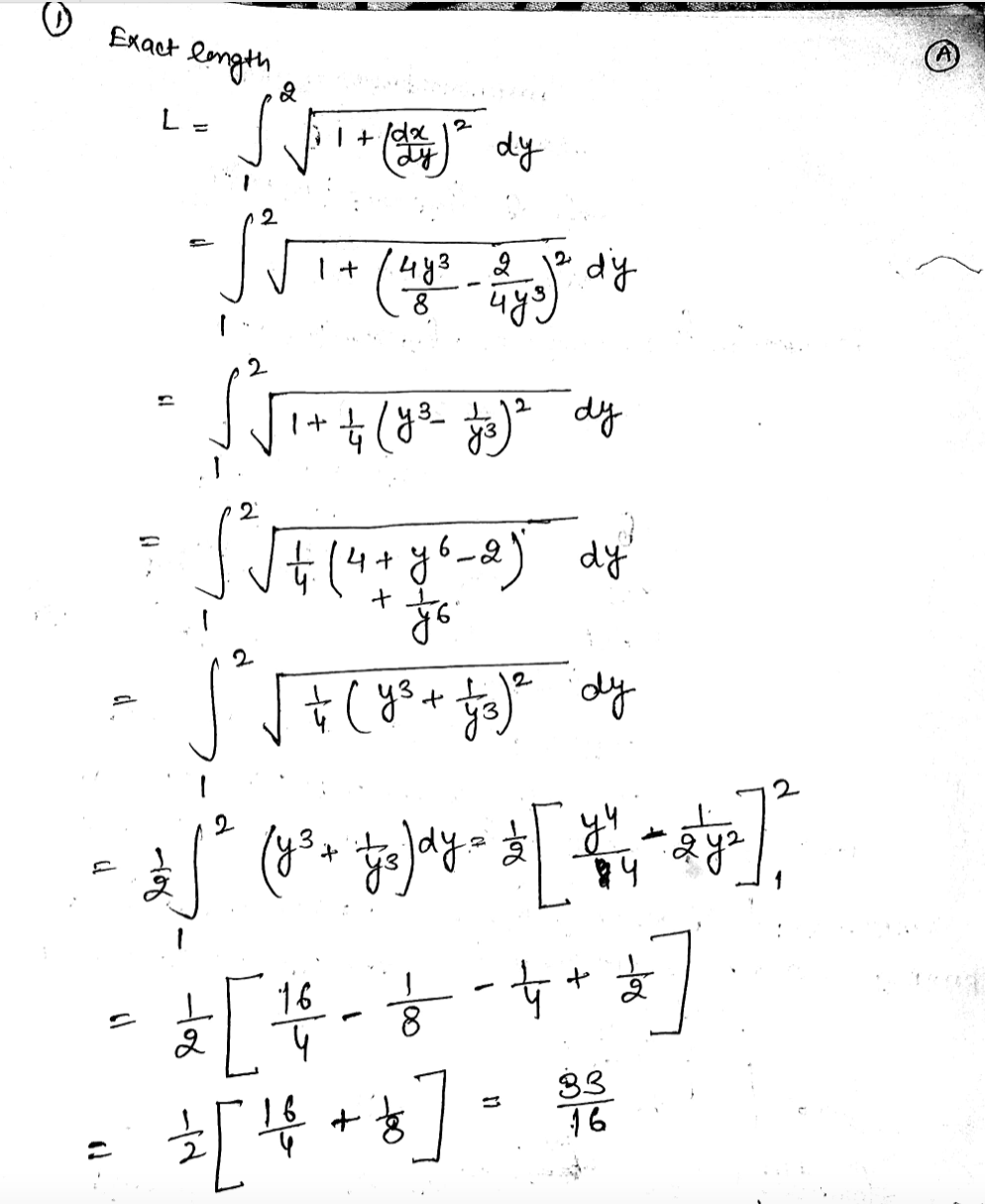
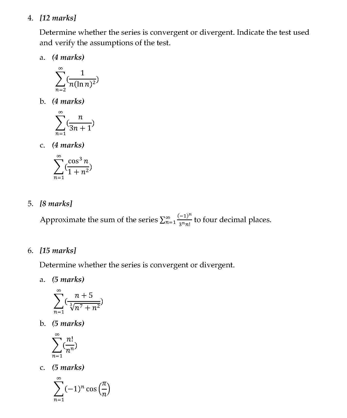
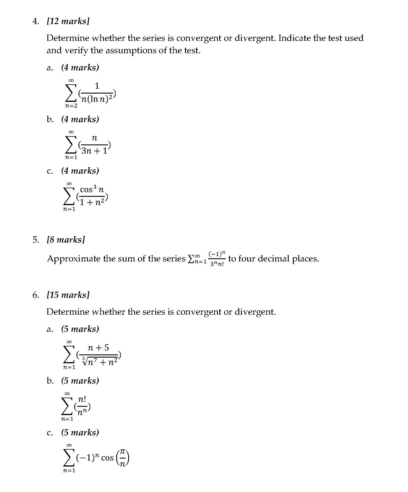
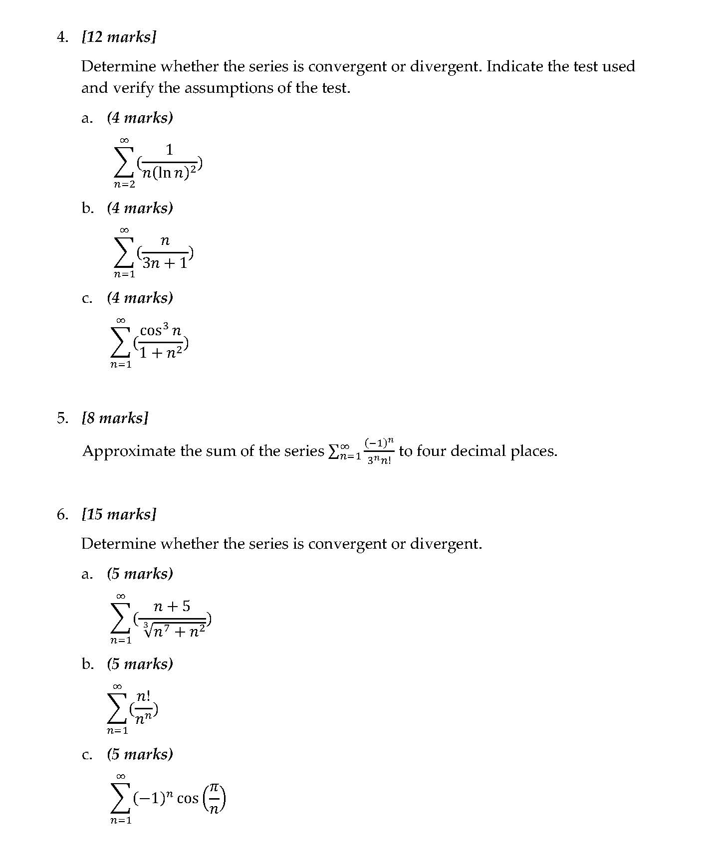
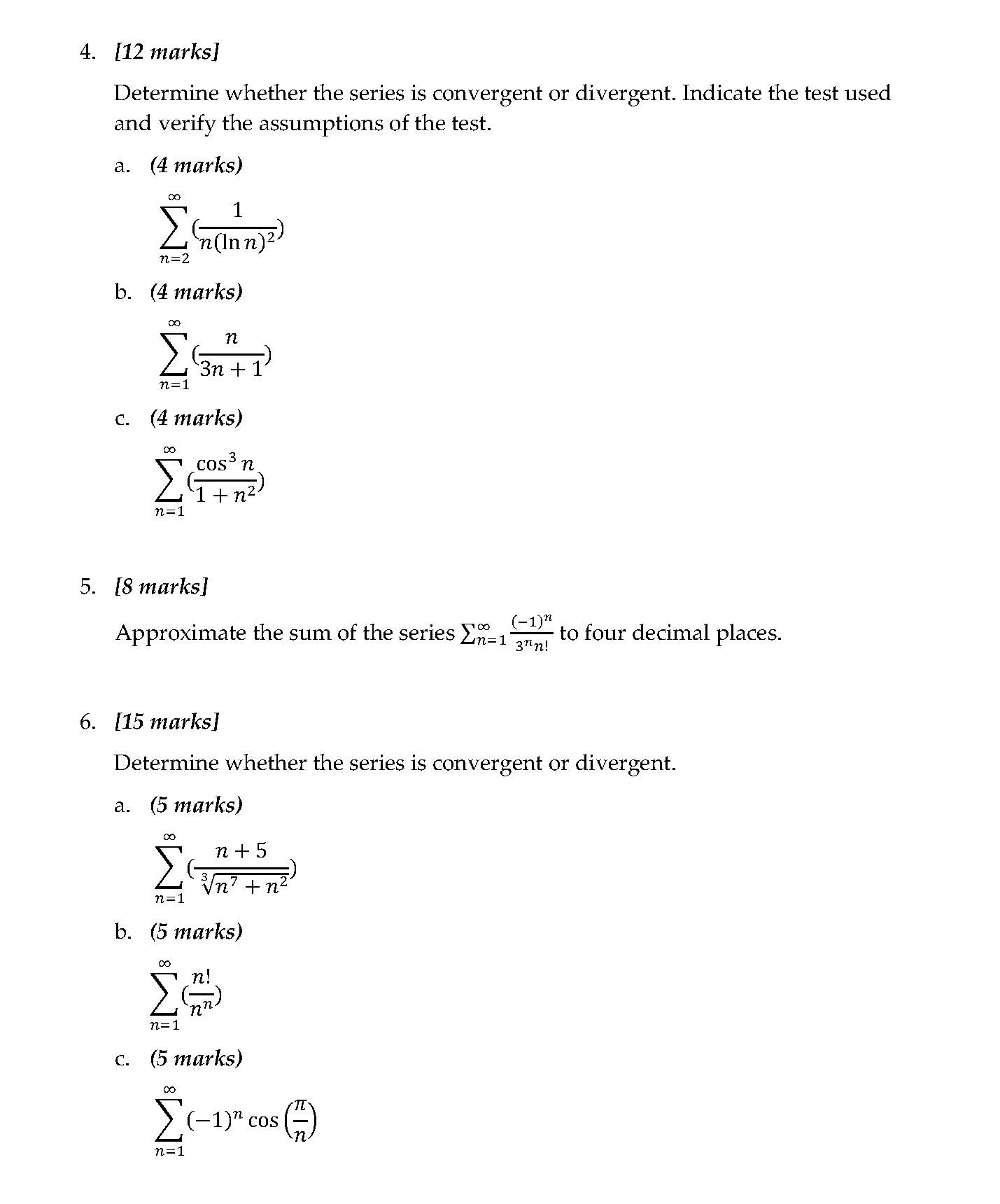
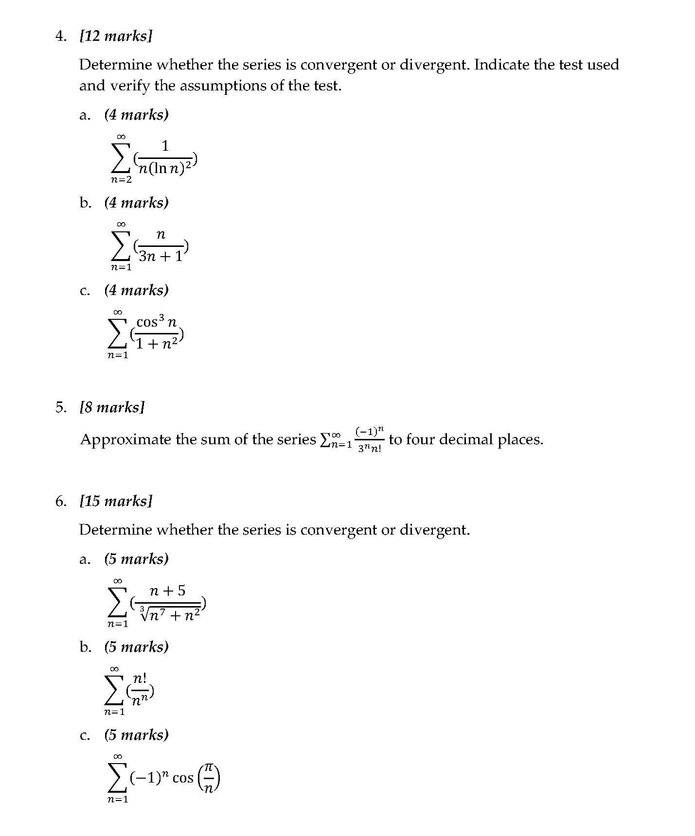
Assignment 4 Note: Give exact answers where possible (for example ...
Assignment 4 Note: Give exact answers where possible (for example...