Subjects
Online Tutoring
Homework Help
Homework Library
Tutors
Online Classes
More
Bookstore
Blog
Technical Tips
FAQ
Contact Us
Get Help Now
Home
Homework Library
Mathematics
Calculus
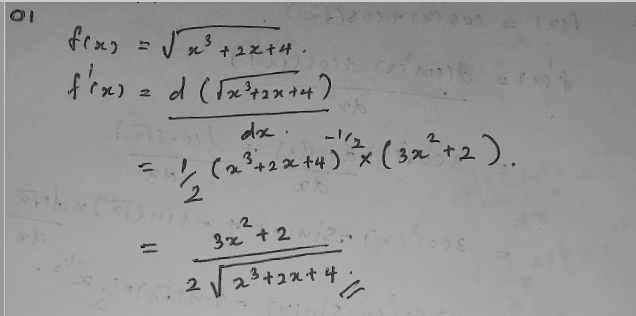
Find f"(x) if f(x)= Vx+2x+4 (4points) f(x)- Find f"(x) ...
Find f"(x) if f(x)= Vx+2x+4 (4points) f(x)- Find f"(x)...