Subjects
Online Tutoring
Homework Help
Homework Library
Tutors
Online Classes
More
Bookstore
Blog
Technical Tips
FAQ
Contact Us
Get Help Now
Home
Homework Library
Mathematics
Calculus
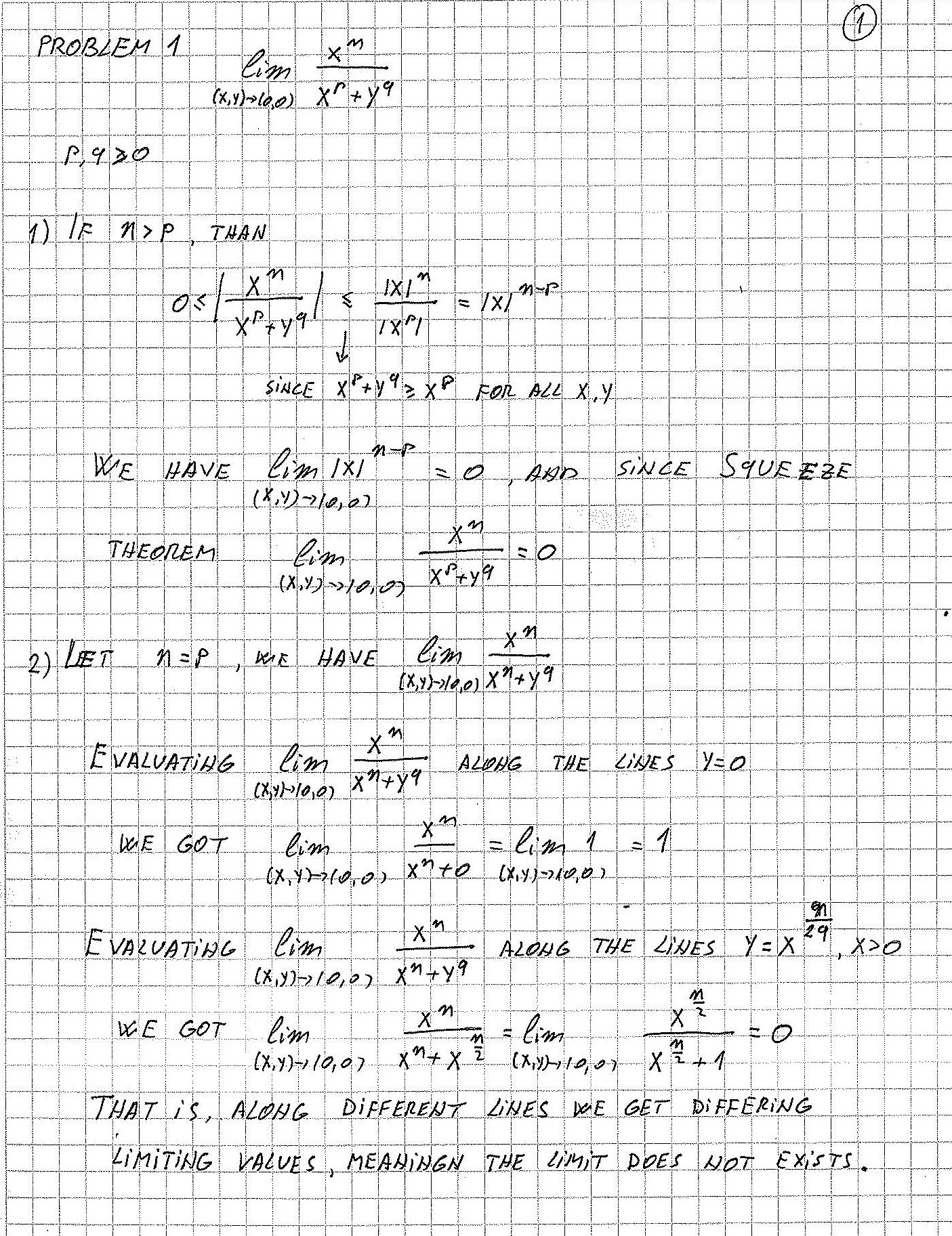
Problem 1: Consider ( , ) (0,0) lim p x y q n x ï‚® x y ...
Problem 1: Consider ( , ) (0,0) lim p x y q n x  x y ...