Subjects
Online Tutoring
Homework Help
Homework Library
Tutors
Online Classes
More
Bookstore
Blog
Technical Tips
FAQ
Contact Us
Get Help Now
Home
Homework Library
Mathematics
Calculus
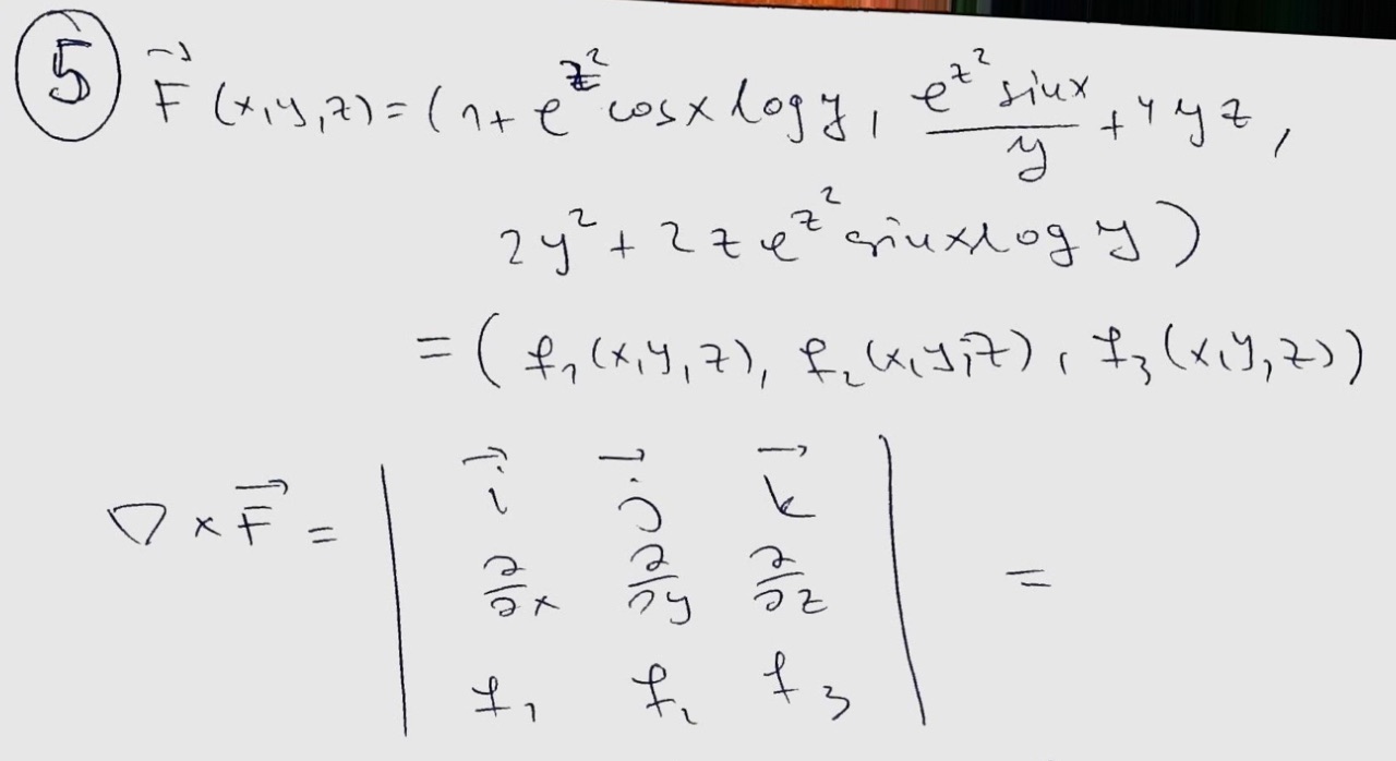
5. (17 points) Let = y and let C be the curve given by a(t) = co...
5. (17 points) Let = y and let C be the curve given by a(t) = co...