Subjects
Online Tutoring
Homework Help
Homework Library
Tutors
Online Classes
More
Bookstore
Blog
Technical Tips
FAQ
Contact Us
Get Help Now
Home
Homework Library
Mathematics
Calculus
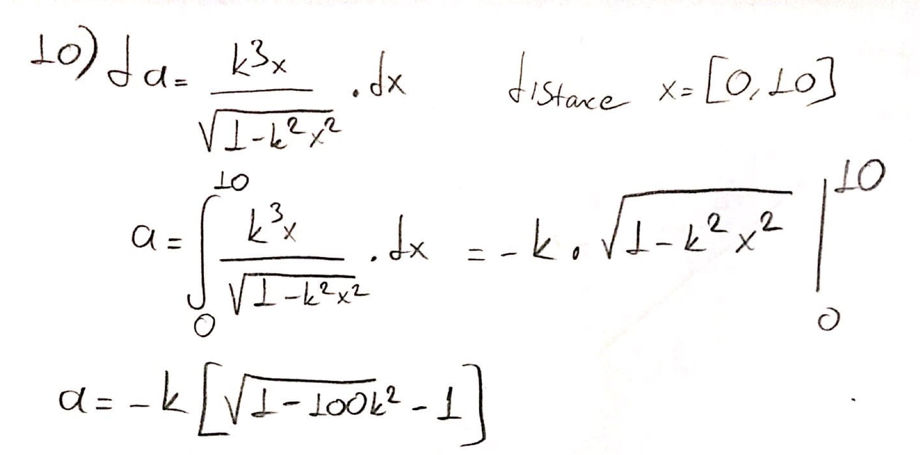
10. (25 points) A particle accelerates at a rate of k³x d.c. For...
10. (25 points) A particle accelerates at a rate of k³x d.c. For w...