Subjects
Online Tutoring
Homework Help
Homework Library
Tutors
Online Classes
More
Bookstore
Blog
Technical Tips
FAQ
Contact Us
Get Help Now
Home
Homework Library
Mathematics
Calculus
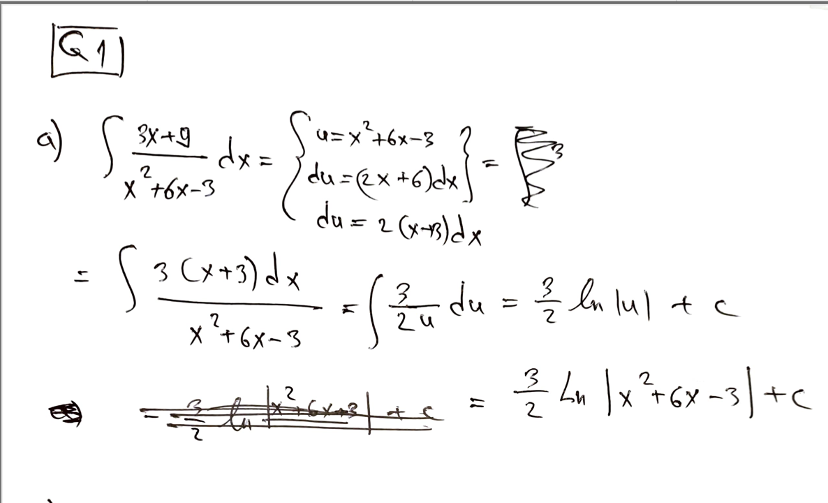
1. Integrate: 3x+9 a. dx x² +6x- 3 d. [3xV5-xdx e. S x+5 ...
1. Integrate: 3x+9 a. dx x² +6x- 3 d. [3xV5-xdx e. S x+5 dx...