Subjects
Online Tutoring
Homework Help
Homework Library
Tutors
Online Classes
More
Bookstore
Blog
Technical Tips
FAQ
Contact Us
Get Help Now
Home
Homework Library
Mathematics
Calculus
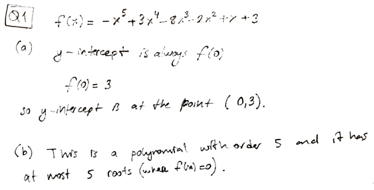
In the function = - + 3 a) What is the y-intercept? b) What is it...
In the function = - + 3 a) What is the y-intercept? b) What is it...