Subjects
Online Tutoring
Homework Help
Homework Library
Tutors
Online Classes
More
Bookstore
Blog
Technical Tips
FAQ
Contact Us
Get Help Now
Home
Homework Library
Mathematics
Calculus
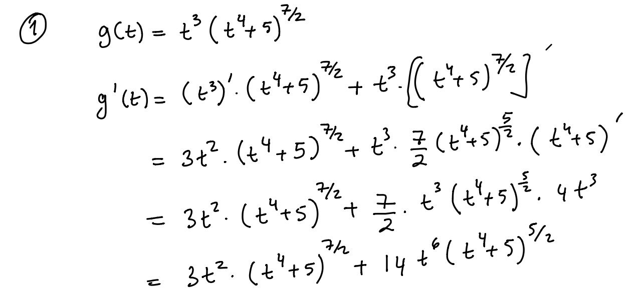
find the derivative B = - 3 = c find the derivative B = =...
find the derivative B = - 3 = c find the derivative B = =...