Subjects
Online Tutoring
Homework Help
Homework Library
Tutors
Online Classes
More
Bookstore
Blog
Technical Tips
FAQ
Contact Us
Get Help Now
Home
Homework Library
Mathematics
Calculus
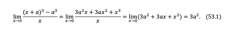
(x +a³ - a³ lim x->0 x 4 1 + h - 1 Evaluate lim . H...
(x +a³ - a³ lim x->0 x 4 1 + h - 1 Evaluate lim . Hint:...