Subjects
Online Tutoring
Homework Help
Homework Library
Tutors
Online Classes
More
Bookstore
Blog
Technical Tips
FAQ
Contact Us
Get Help Now
Home
Homework Library
Mathematics
Calculus
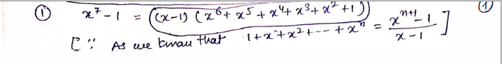
&. Factor x7 - I find t (x) 2. Given 3 x4 +2x-5 170 3. ...
&. Factor x7 - I find t (x) 2. Given 3 x4 +2x-5 170 3....