Subjects
Online Tutoring
Homework Help
Homework Library
Tutors
Online Classes
More
Bookstore
Blog
Technical Tips
FAQ
Contact Us
Get Help Now
Home
Homework Library
Mathematics
Calculus
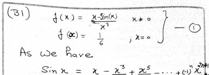
Question B1. Let f (x) = x-sin(x) x3 if x # 0, and that f is conti...
Question B1. Let f (x) = x-sin(x) x3 if x # 0, and that f is conti...