Subjects
Online Tutoring
Homework Help
Homework Library
Tutors
Online Classes
More
Bookstore
Blog
Technical Tips
FAQ
Contact Us
Get Help Now
Home
Homework Library
Mathematics
Calculus
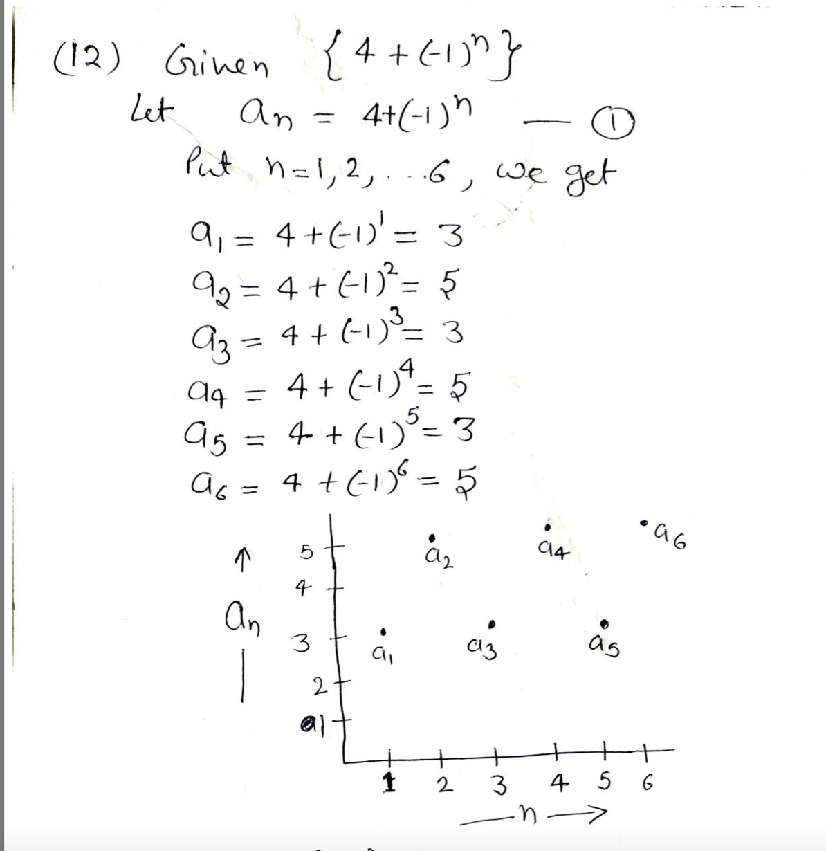
10.1 Inproblems 7- 18, calculate the first 6terms (starting withn=...
10.1 Inproblems 7- 18, calculate the first 6terms (starting withn=...