Subjects
Online Tutoring
Homework Help
Homework Library
Tutors
Online Classes
More
Bookstore
Blog
Technical Tips
FAQ
Contact Us
Get Help Now
Home
Homework Library
Mathematics
Differential Geometry
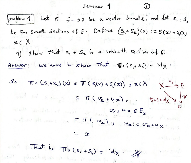
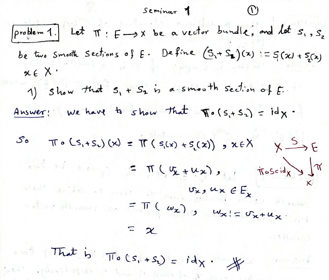
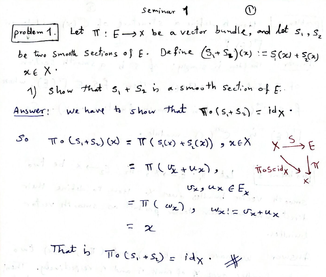
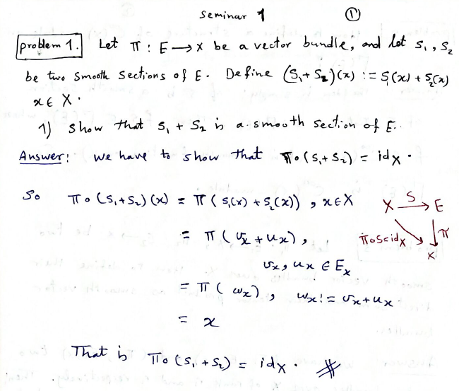
Problem 1. Let π : E → X be a vector bundle, and let s1,...
Problem 1. Let π : E → X be a vector bundle, and let s1, s2 : X...