Subjects
Online Tutoring
Homework Help
Homework Library
Tutors
Online Classes
More
Bookstore
Blog
Technical Tips
FAQ
Contact Us
Get Help Now
Home
Homework Library
Mathematics
Differential Geometry
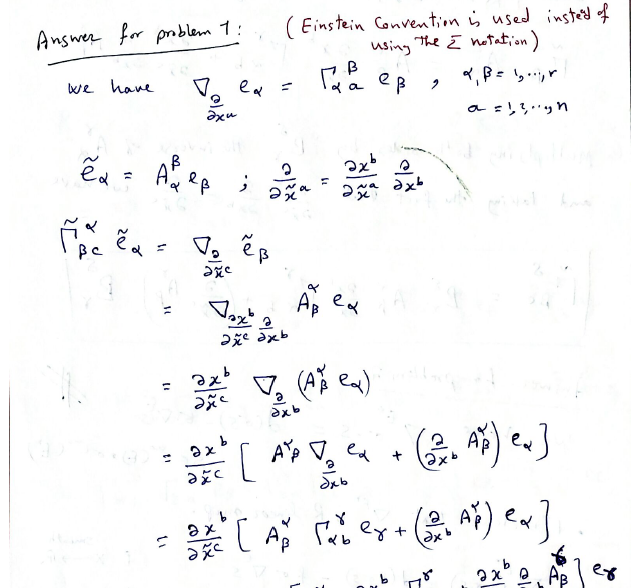
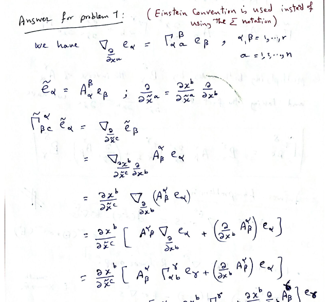
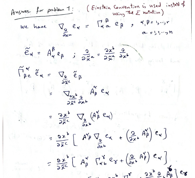
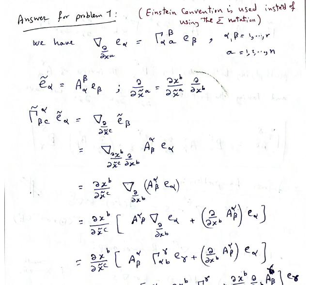
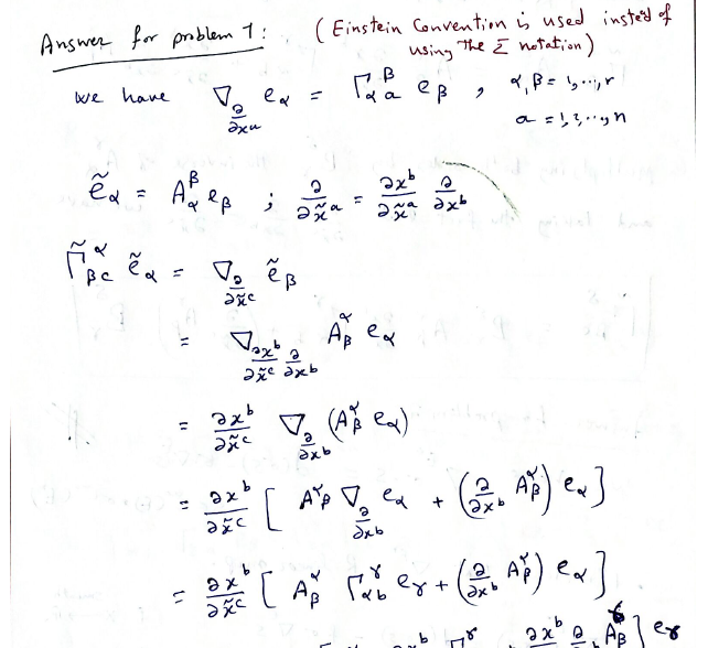
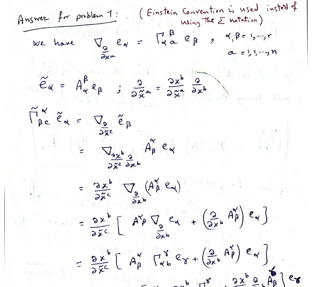
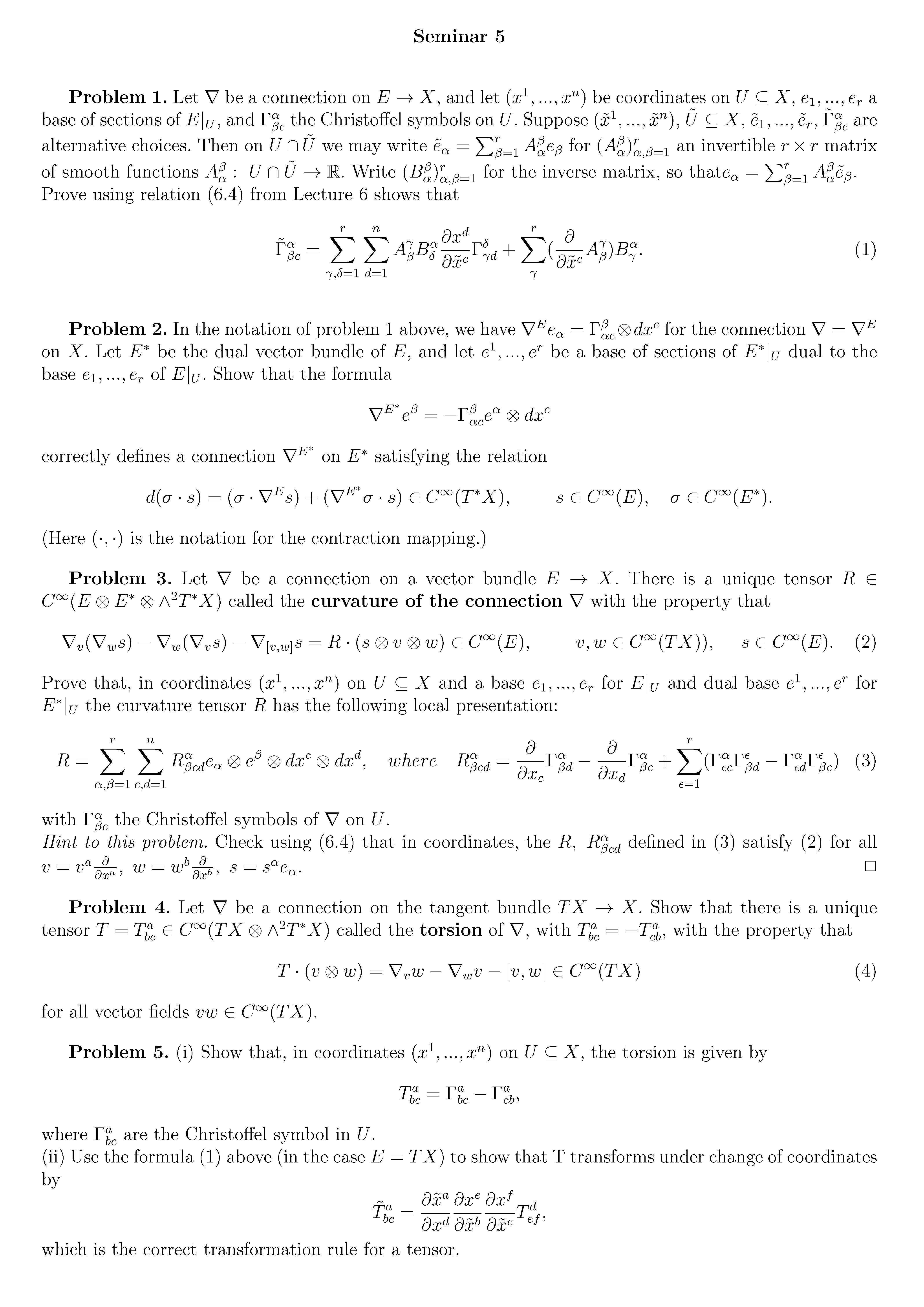
Problem 1. Let ∇ be a connection on E → X, and let (x ...
Problem 1. Let ∇ be a connection on E → X, and let (x 1 , ......