Subjects
Online Tutoring
Homework Help
Homework Library
Tutors
Online Classes
More
Bookstore
Blog
Technical Tips
FAQ
Contact Us
Get Help Now
Home
Homework Library
Mathematics
Linear Algebra
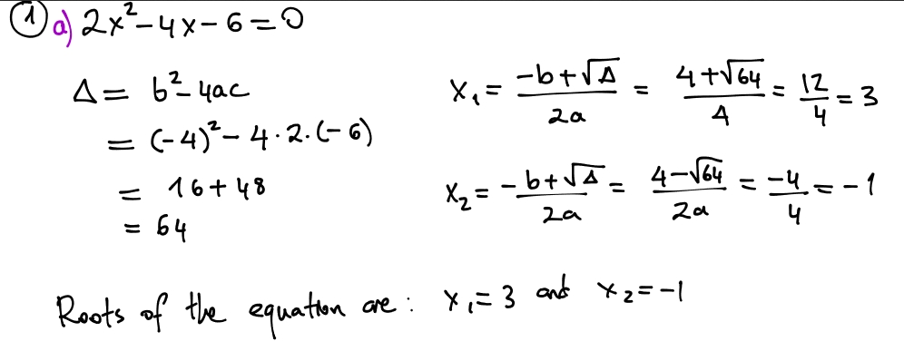
Question 1 (a) Find the roots of the following polynomial equation...
Question 1 (a) Find the roots of the following polynomial equation...