Subjects
Online Tutoring
Homework Help
Homework Library
Tutors
Online Classes
More
Bookstore
Blog
Technical Tips
FAQ
Contact Us
Get Help Now
Home
Homework Library
Mathematics
Linear Algebra
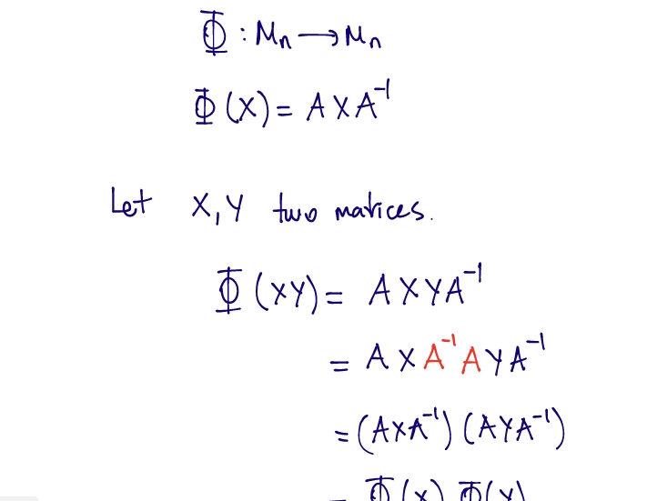
If A € Mn is invertible and Φ: Mn ---> Mn is the functi...
If A € Mn is invertible and Φ: Mn ---> Mn is the function def...