Subjects
Online Tutoring
Homework Help
Homework Library
Tutors
Online Classes
More
Bookstore
Blog
Technical Tips
FAQ
Contact Us
Get Help Now
Home
Homework Library
Mathematics
Linear Algebra
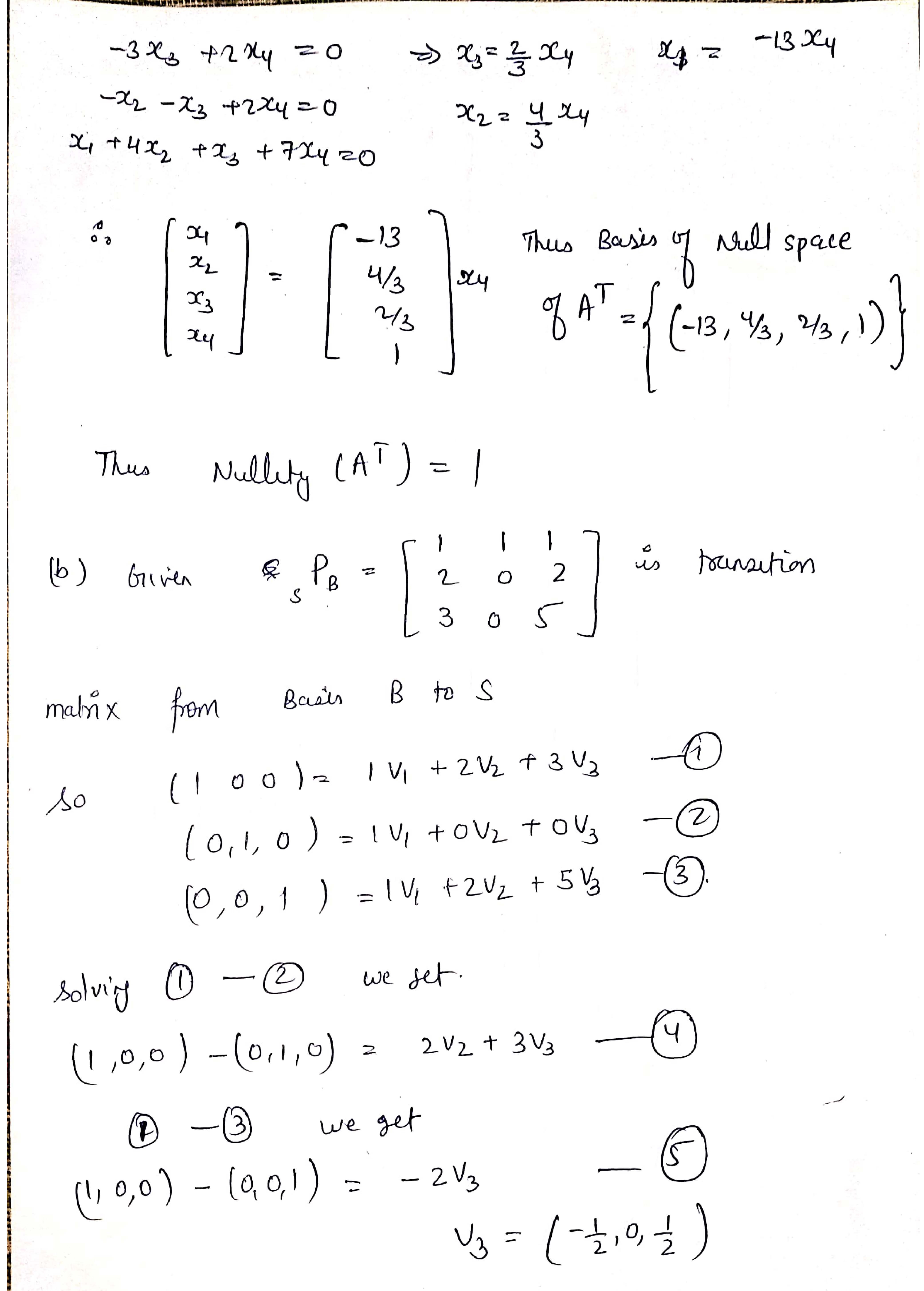
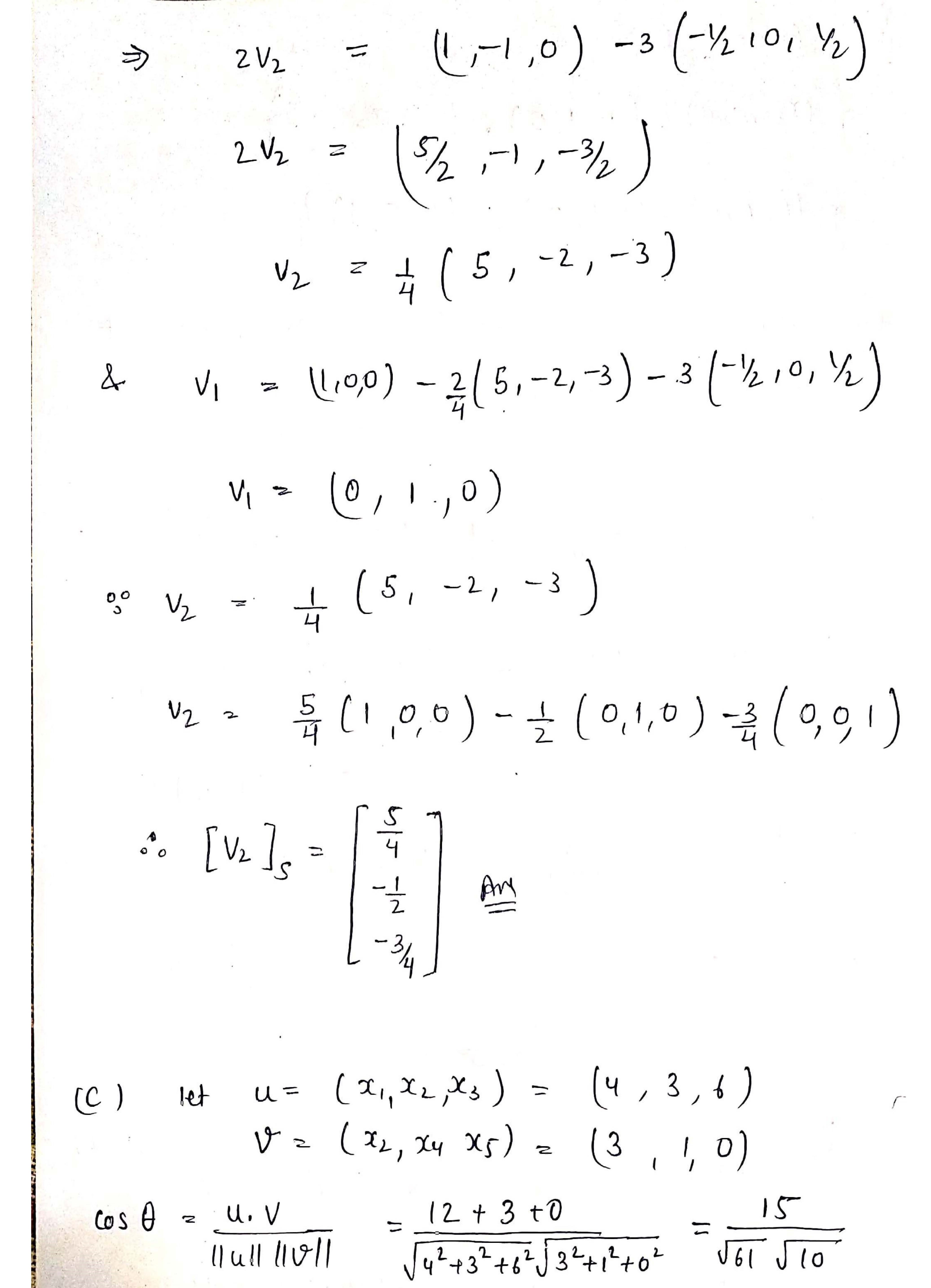
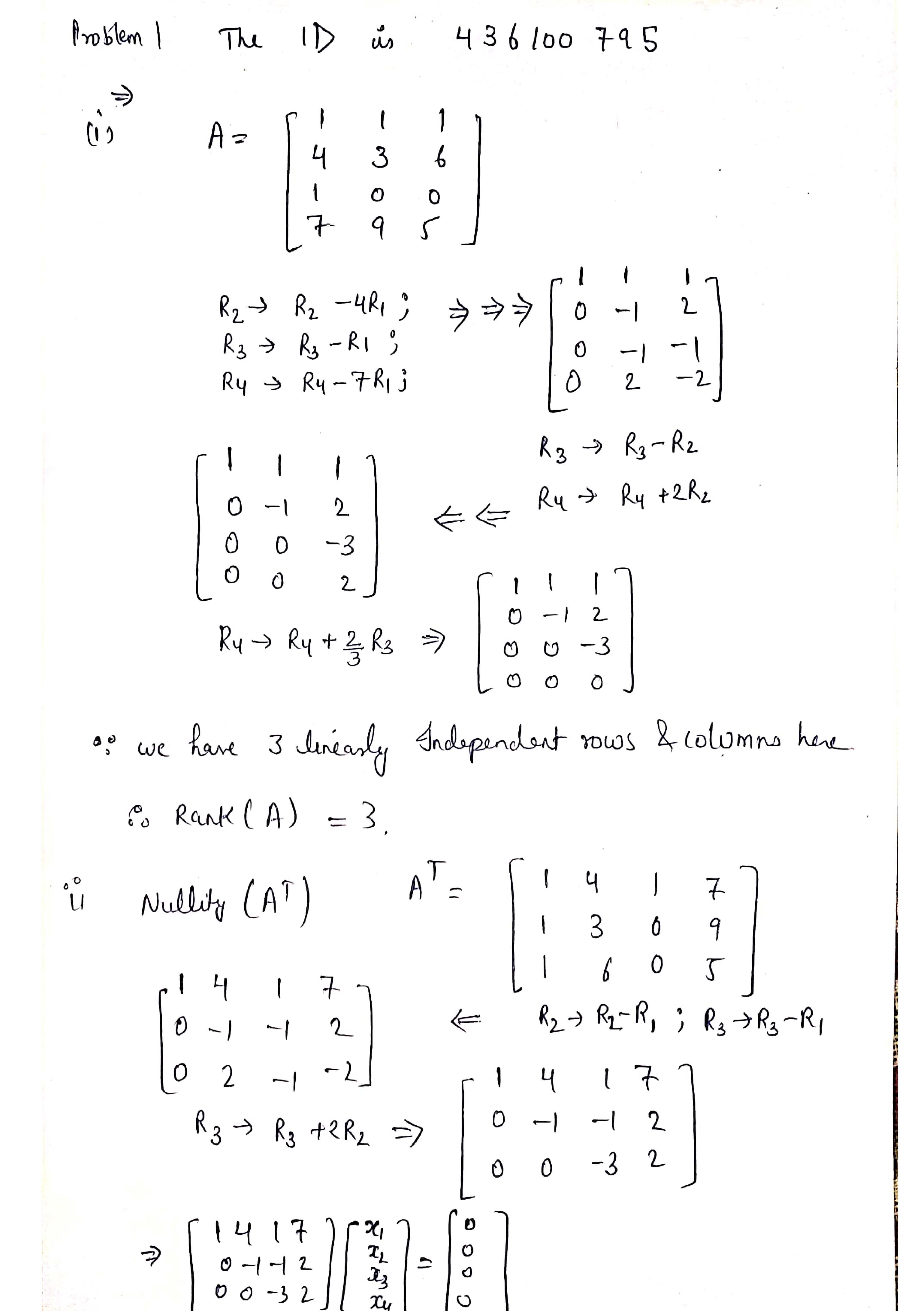
Problem 1: Throughout this problem 1, let be your present universit...
Problem 1: Throughout this problem 1, let be your present universit...