Subjects
Online Tutoring
Homework Help
Homework Library
Tutors
Online Classes
More
Bookstore
Blog
Technical Tips
FAQ
Contact Us
Get Help Now
Home
Homework Library
Mathematics
Linear Algebra
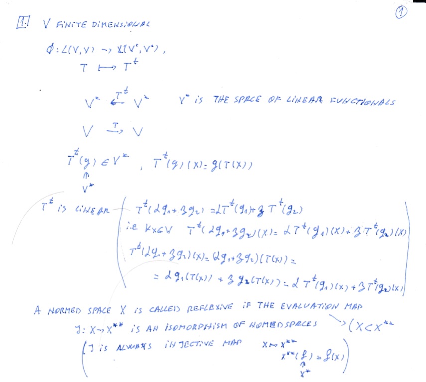
QUESTIONS: (1) Let V be a finite dimensional vector space and V* b...
QUESTIONS: (1) Let V be a finite dimensional vector space and V* b...