Subjects
Online Tutoring
Homework Help
Homework Library
Tutors
Online Classes
More
Bookstore
Blog
Technical Tips
FAQ
Contact Us
Get Help Now
Home
Homework Library
Mathematics
Linear Algebra
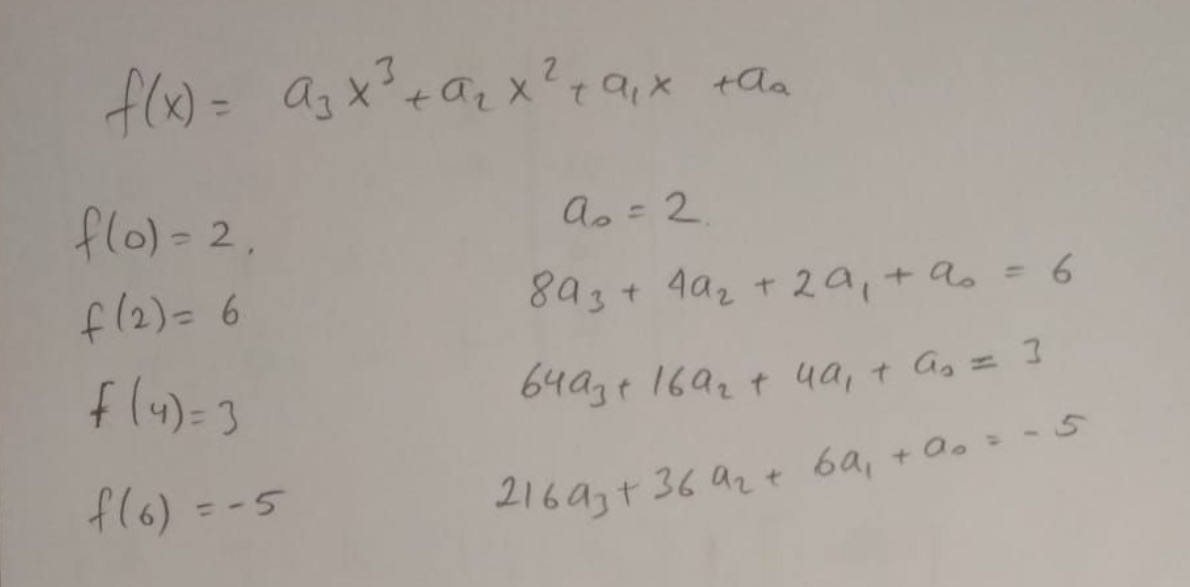
9. Find a polynomial [(1) = aaz“ + azx2 +a1z+ao where f(0) = ...
9. Find a polynomial [(1) = aaz“ + azx2 +a1z+ao where f(0) = 2, f...