Subjects
Online Tutoring
Homework Help
Homework Library
Tutors
Online Classes
More
Bookstore
Blog
Technical Tips
FAQ
Contact Us
Get Help Now
Home
Homework Library
Mathematics
Mathematics - Other
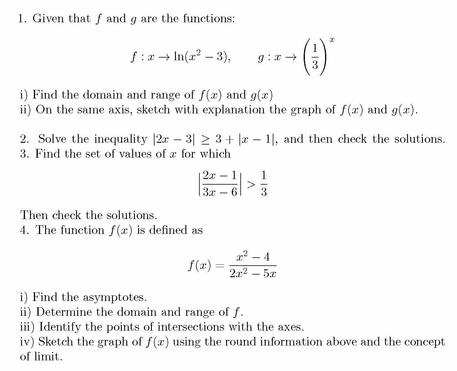
1. Given that f and g are the functions: f : x → ln(x 2 â...
1. Given that f and g are the functions: f : x → ln(x 2 − 3),...