Subjects
Online Tutoring
Homework Help
Homework Library
Tutors
Online Classes
More
Bookstore
Blog
Technical Tips
FAQ
Contact Us
Get Help Now
Home
Homework Library
Mathematics
Mathematics - Other
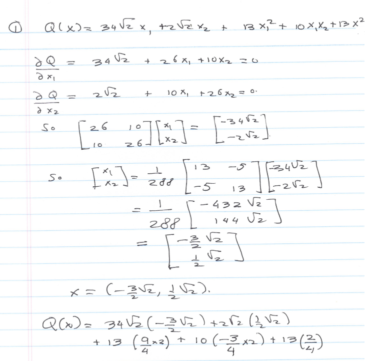
1. Find all optimal solutions to min Q(x) = 34√2xâ‚ + 2â...
1. Find all optimal solutions to min Q(x) = 34√2x₠+ 2√2x₂...