Subjects
Online Tutoring
Homework Help
Homework Library
Tutors
Online Classes
More
Bookstore
Blog
Technical Tips
FAQ
Contact Us
Get Help Now
Home
Homework Library
Mathematics
Mathematics - Other
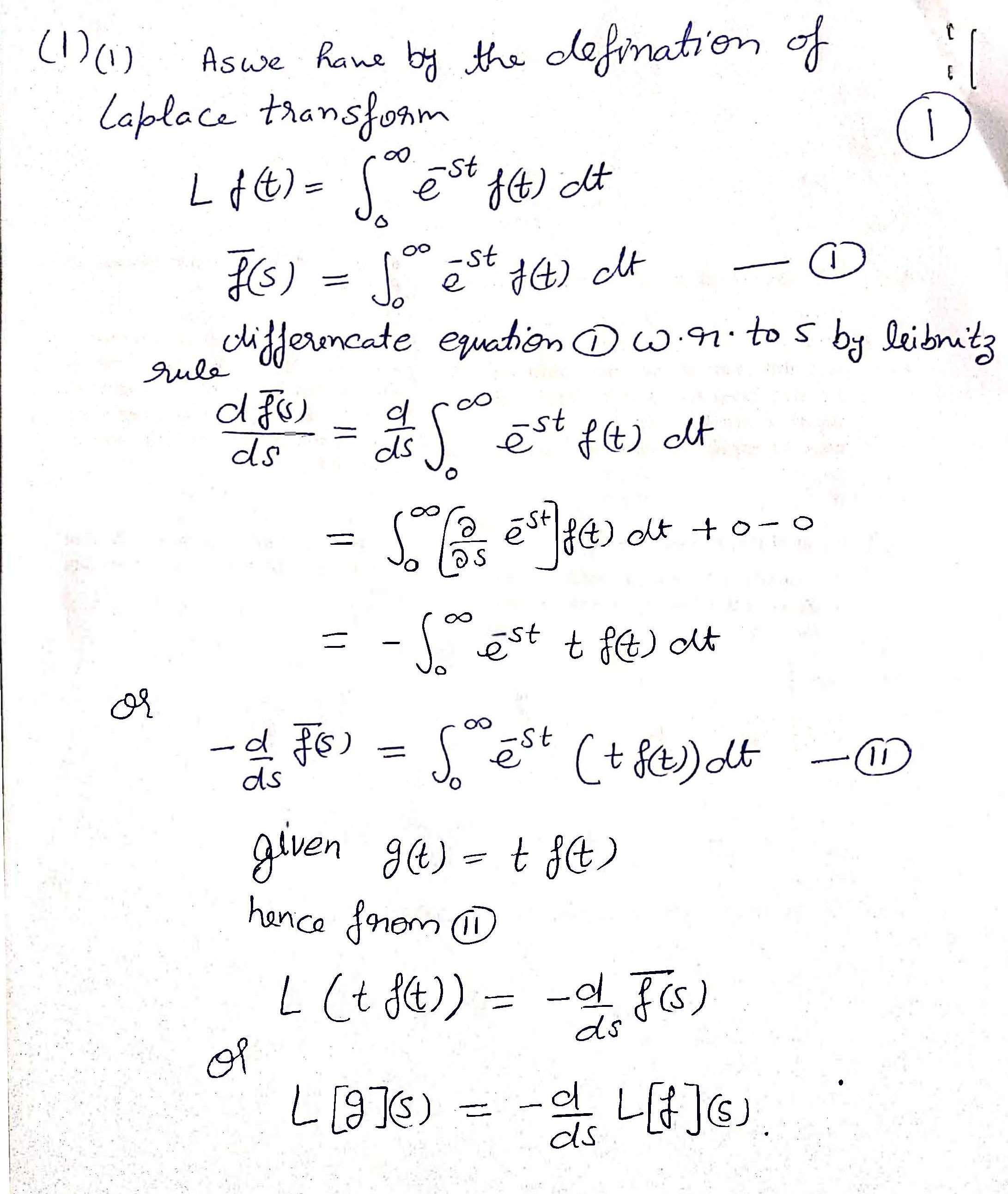
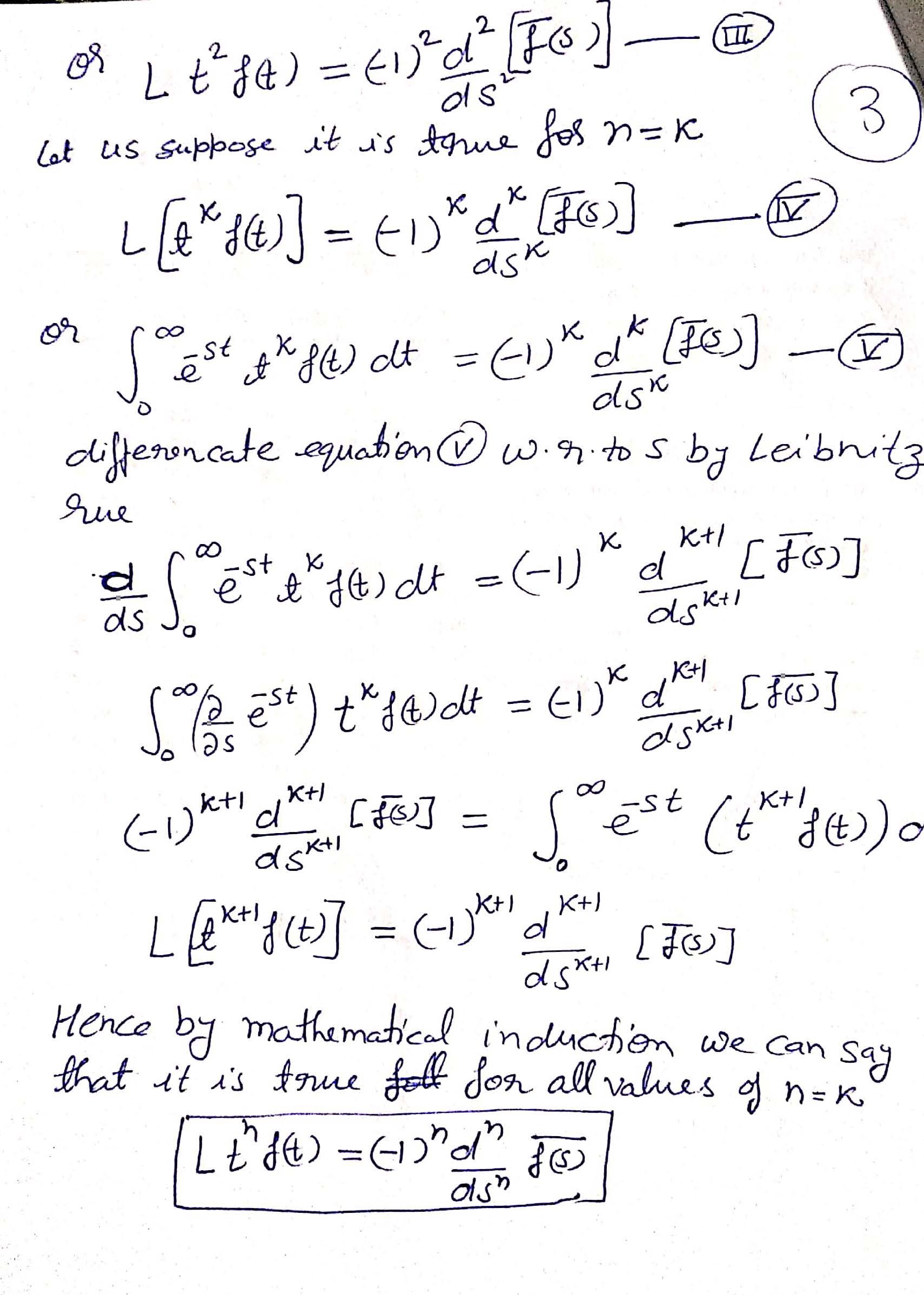
Please answer the following questions: (1) Suppose f : [0, ∞)...
Please answer the following questions: (1) Suppose f : [0, ∞) â†...