Subjects
Online Tutoring
Homework Help
Homework Library
Tutors
Online Classes
More
Bookstore
Blog
Technical Tips
FAQ
Contact Us
Get Help Now
Home
Homework Library
Mathematics
Mathematics - Other
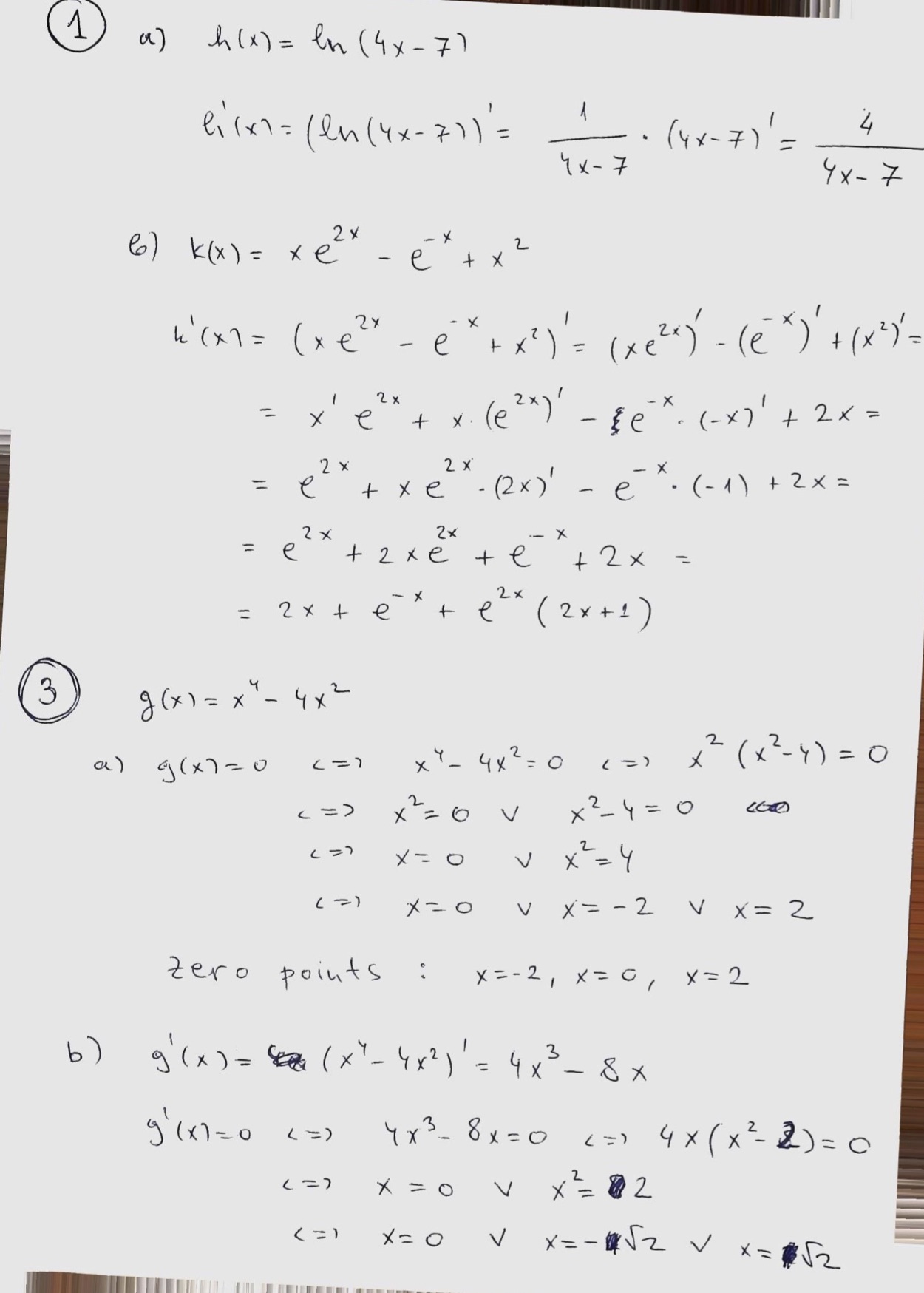
Task 1 a) Derive the function h(ð‘¥) = ln(4𑥠−...
Task 1 a) Derive the function h(ð‘¥) = ln(4𑥠− 7). b) Deri...