Subjects
Online Tutoring
Homework Help
Homework Library
Tutors
Online Classes
More
Bookstore
Blog
Technical Tips
FAQ
Contact Us
Get Help Now
Home
Homework Library
Mathematics
Pre-Calculus
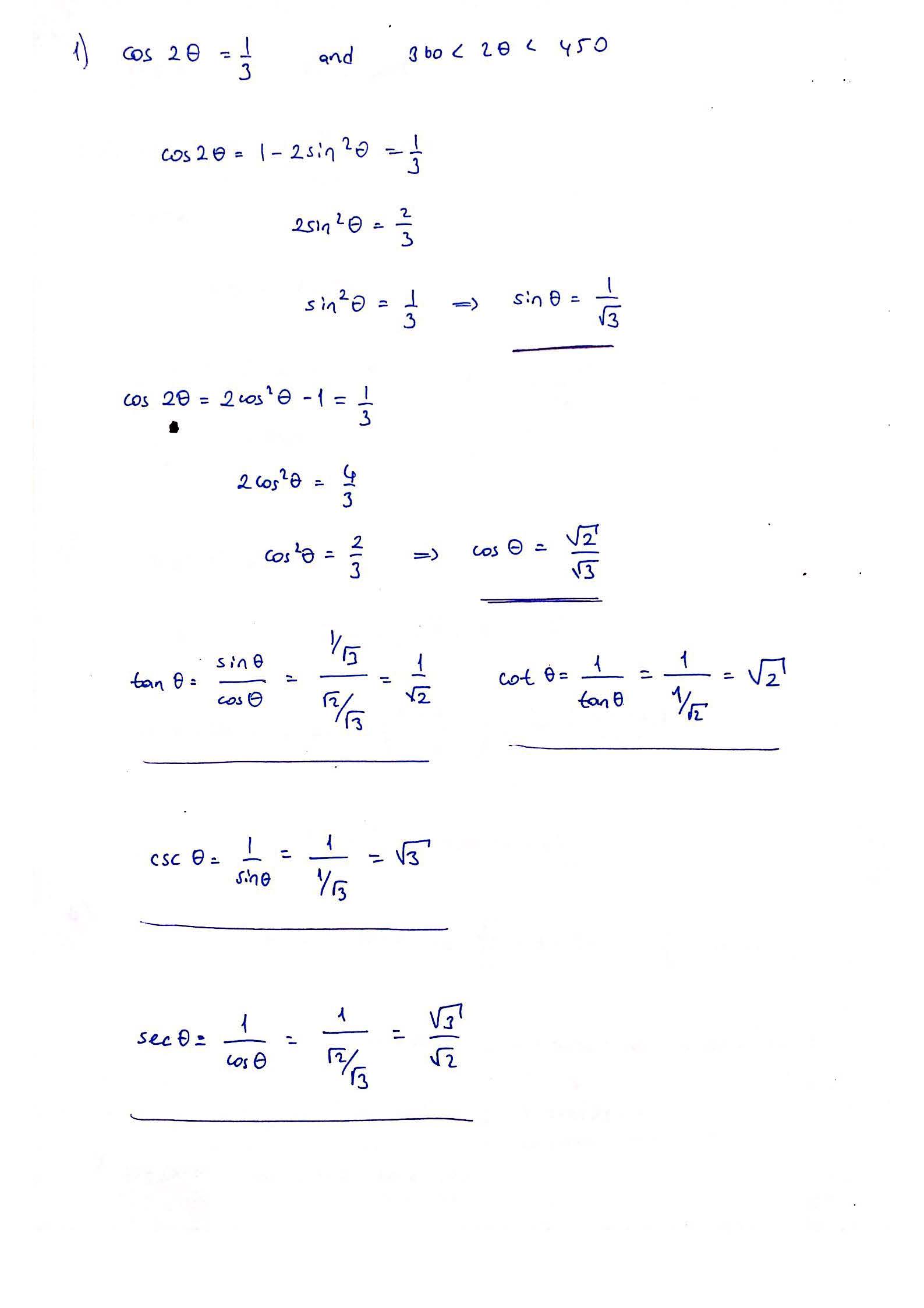
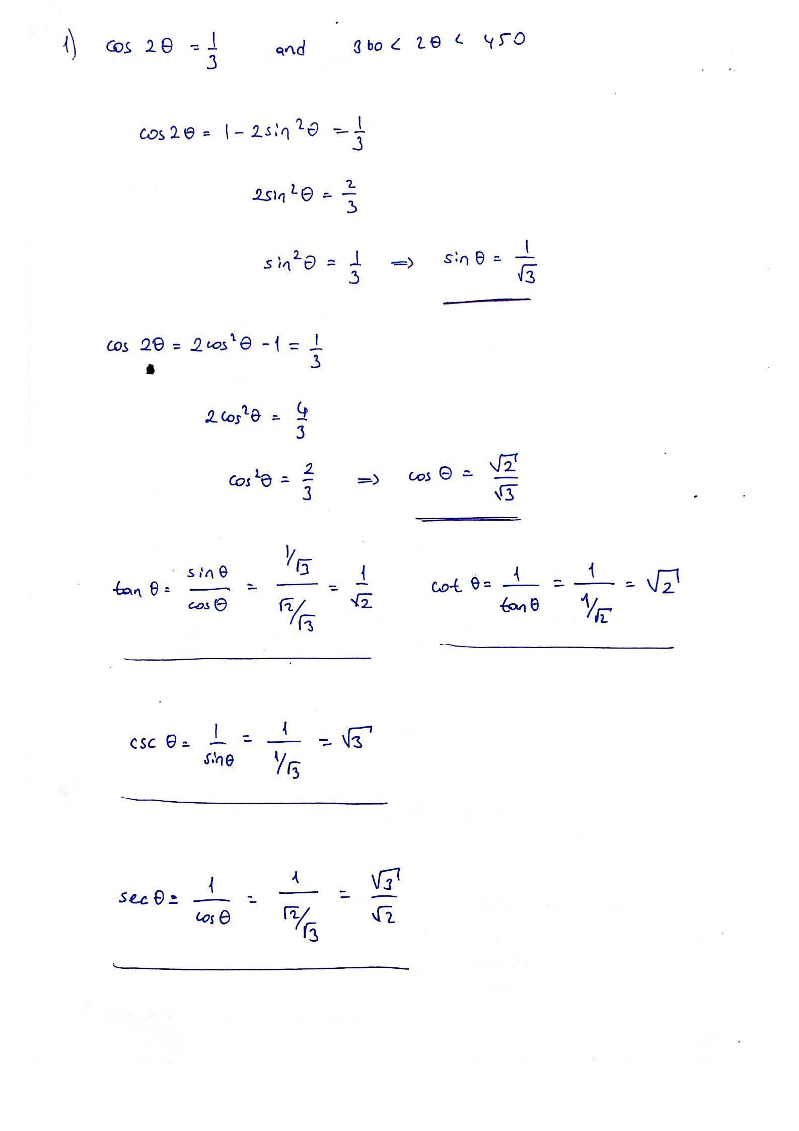
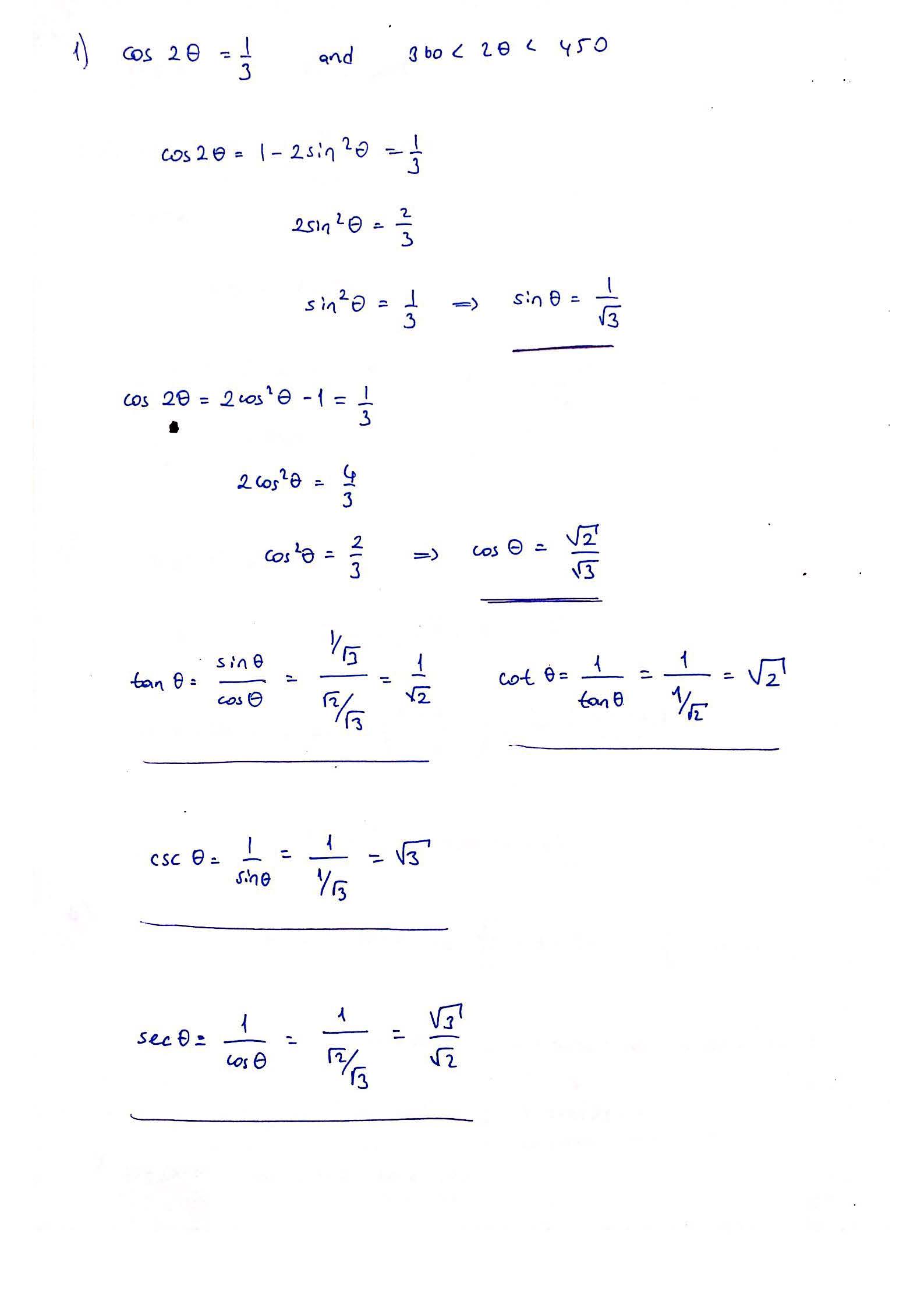
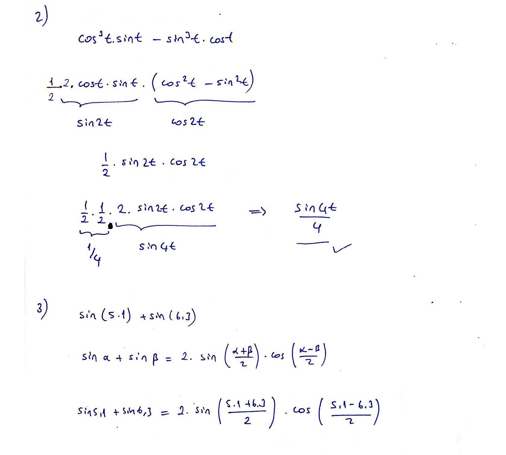
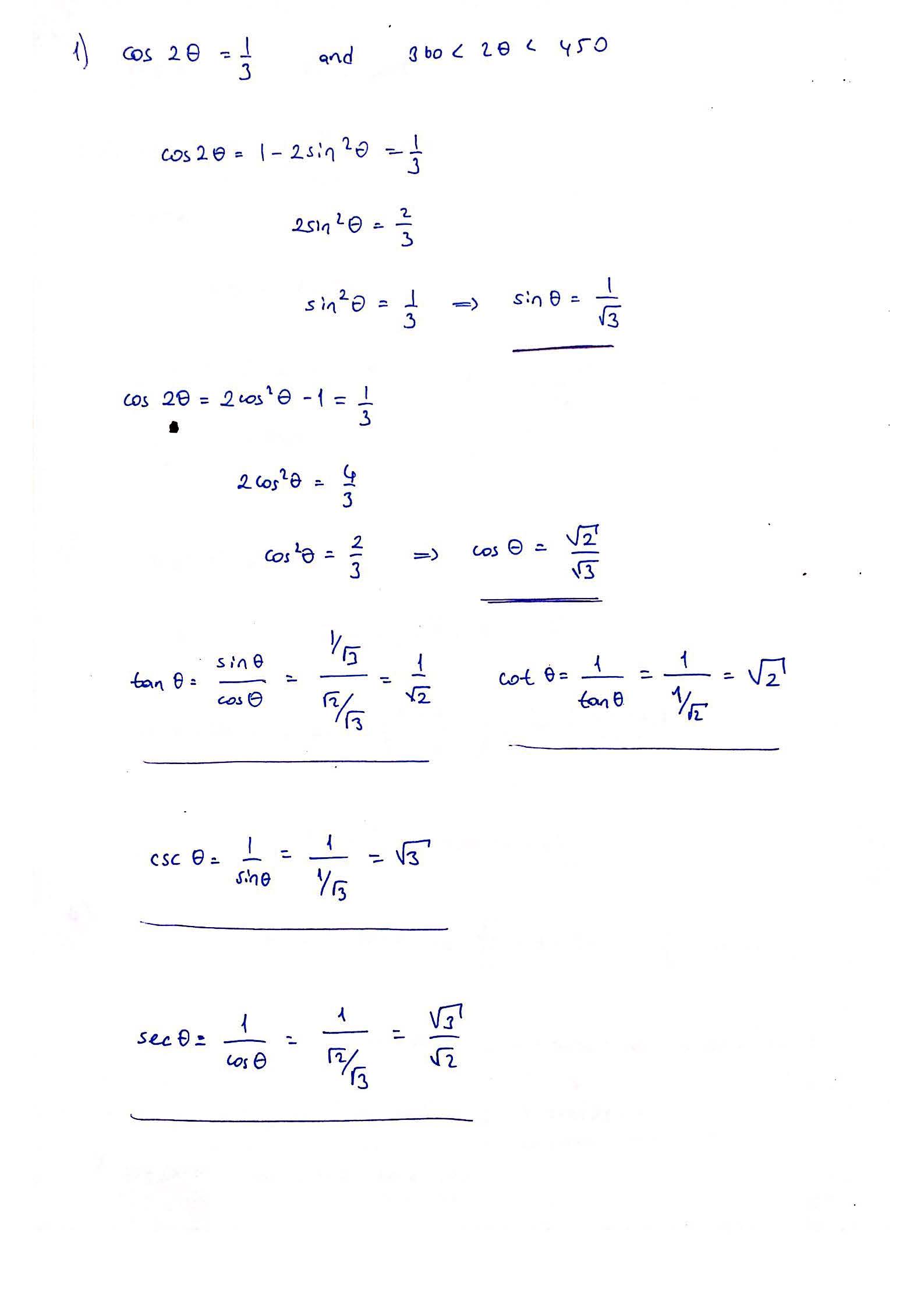
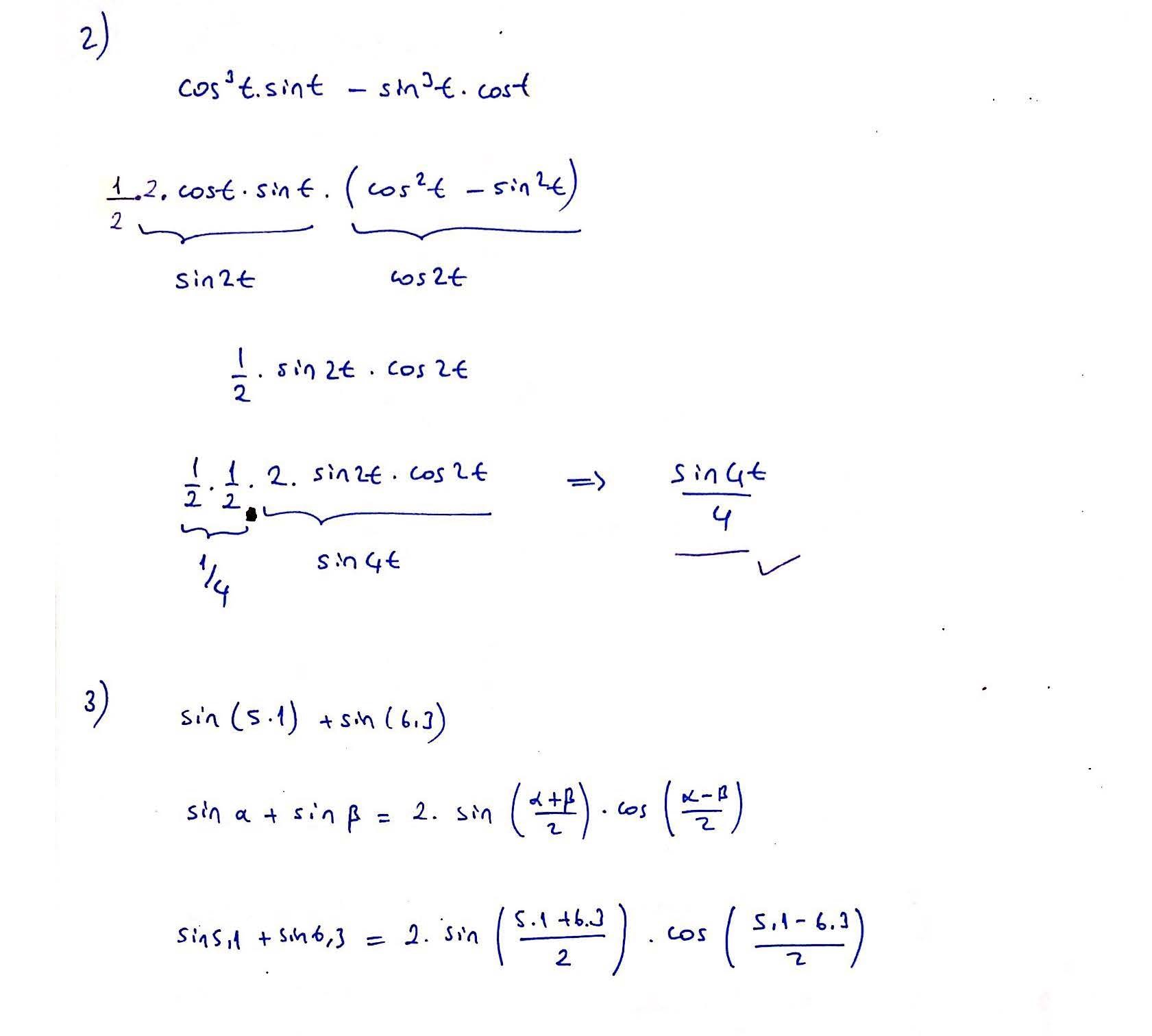
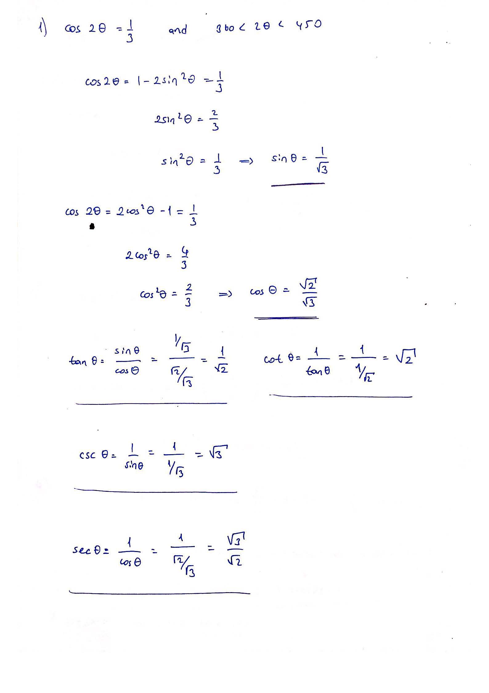
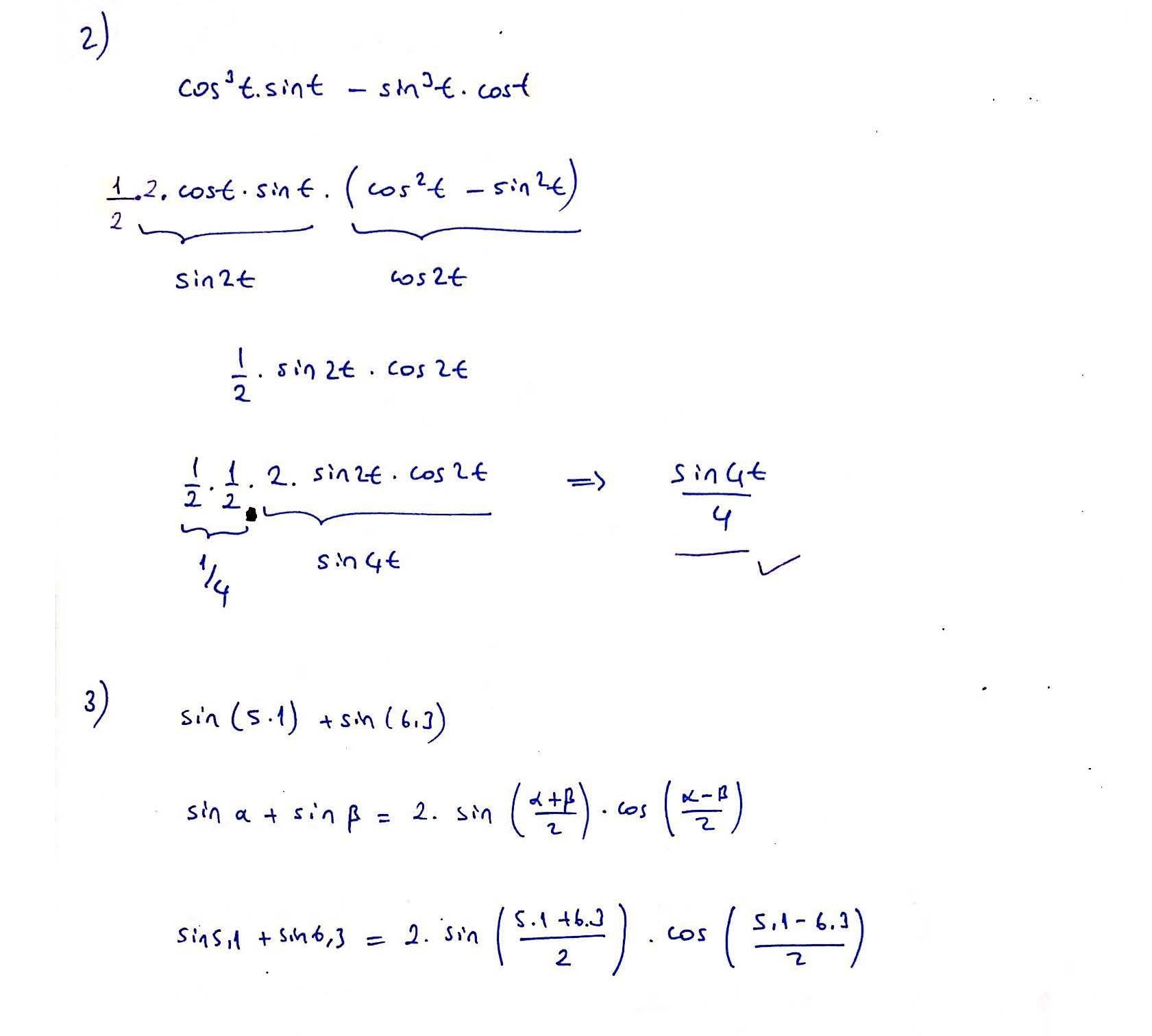
Find ð’”ð’Šð’ ðœ½, ð’„ð’ð...
Find ð’”ð’Šð’ ðœ½, ð’„ð’ð’” ðœ½, ð’•ð’‚ð’ ðœ½, ð’„ð...