Subjects
Online Tutoring
Homework Help
Homework Library
Tutors
Online Classes
More
Bookstore
Blog
Technical Tips
FAQ
Contact Us
Get Help Now
Home
Homework Library
Mathematics
Trigonometry
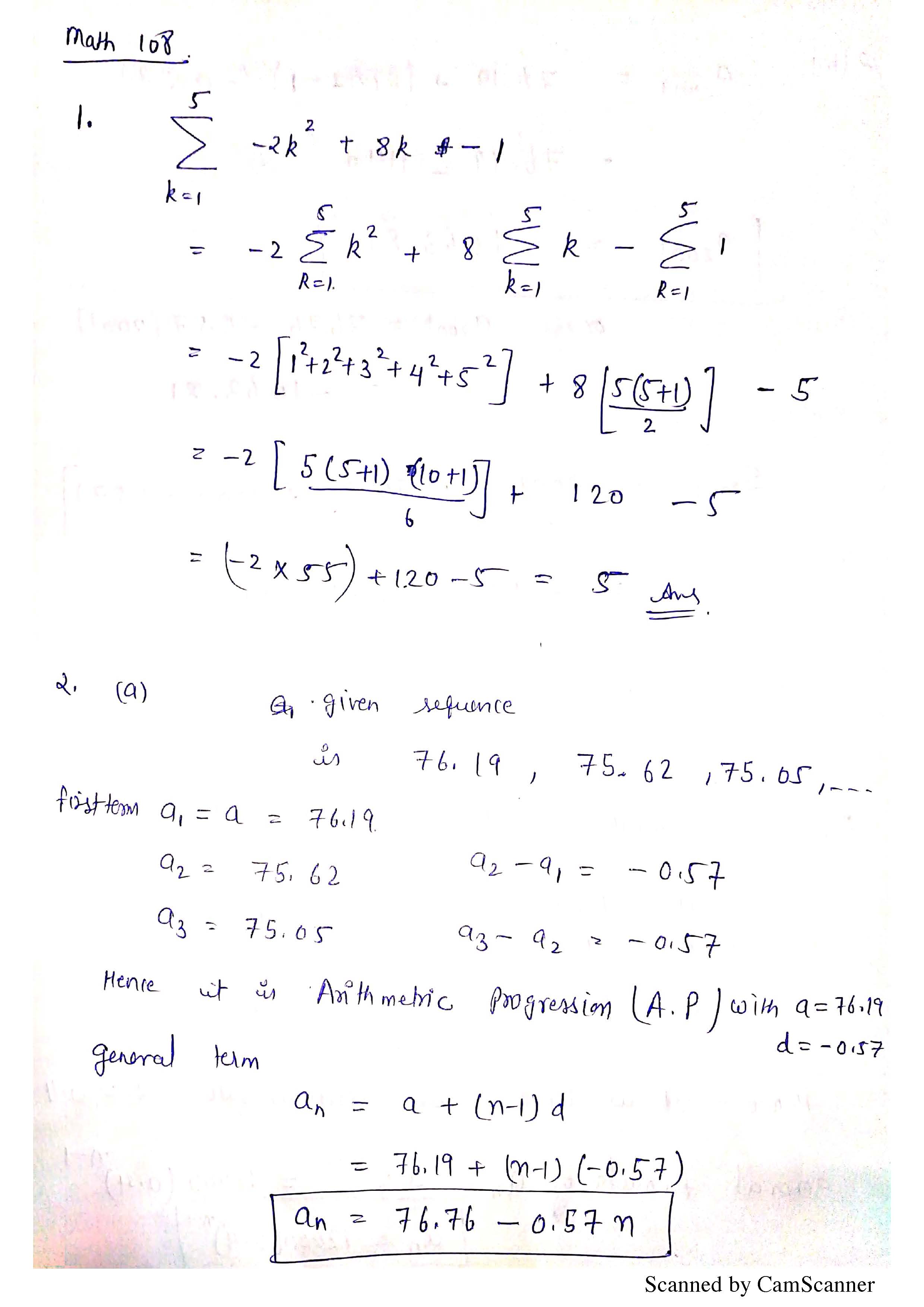
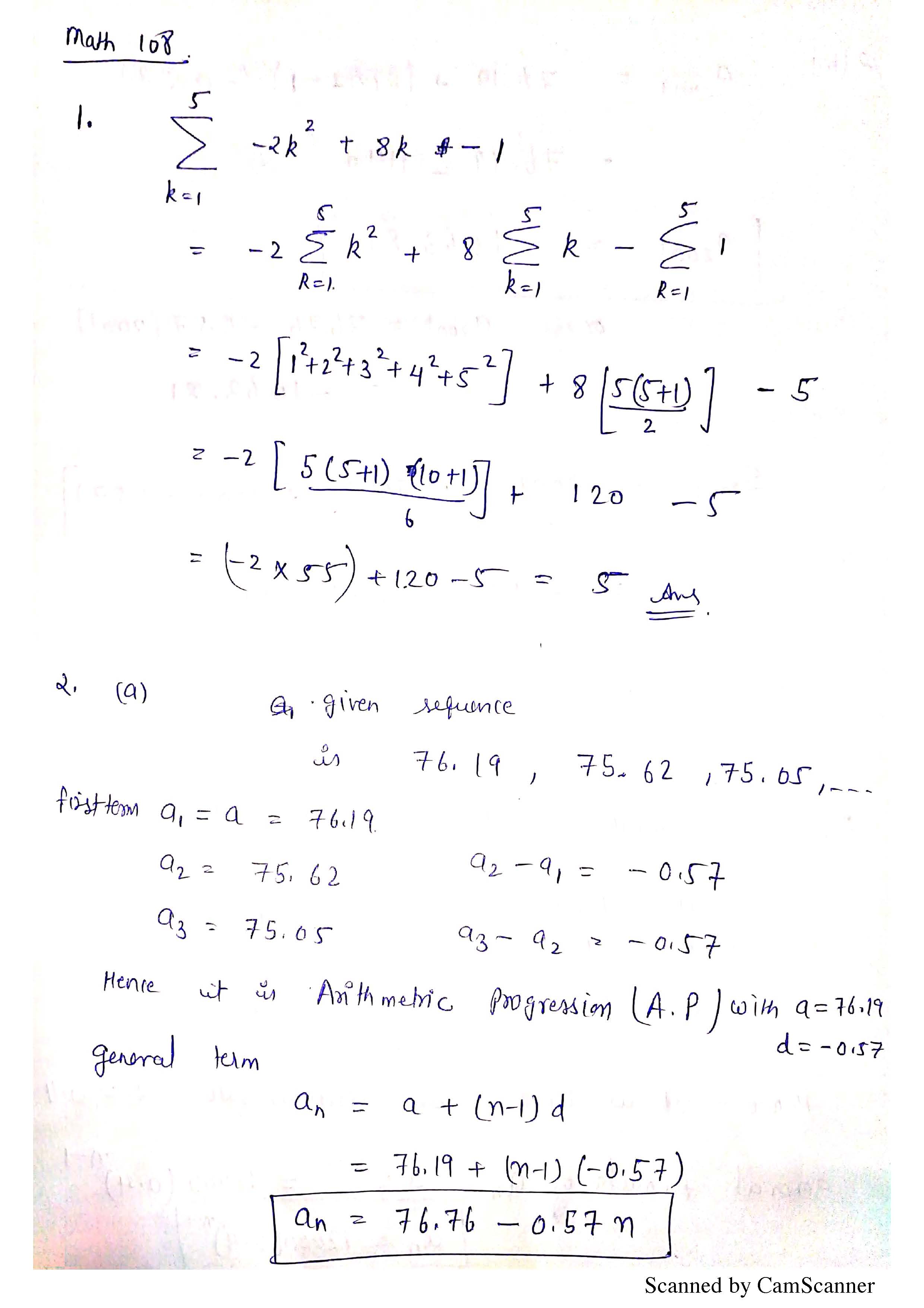
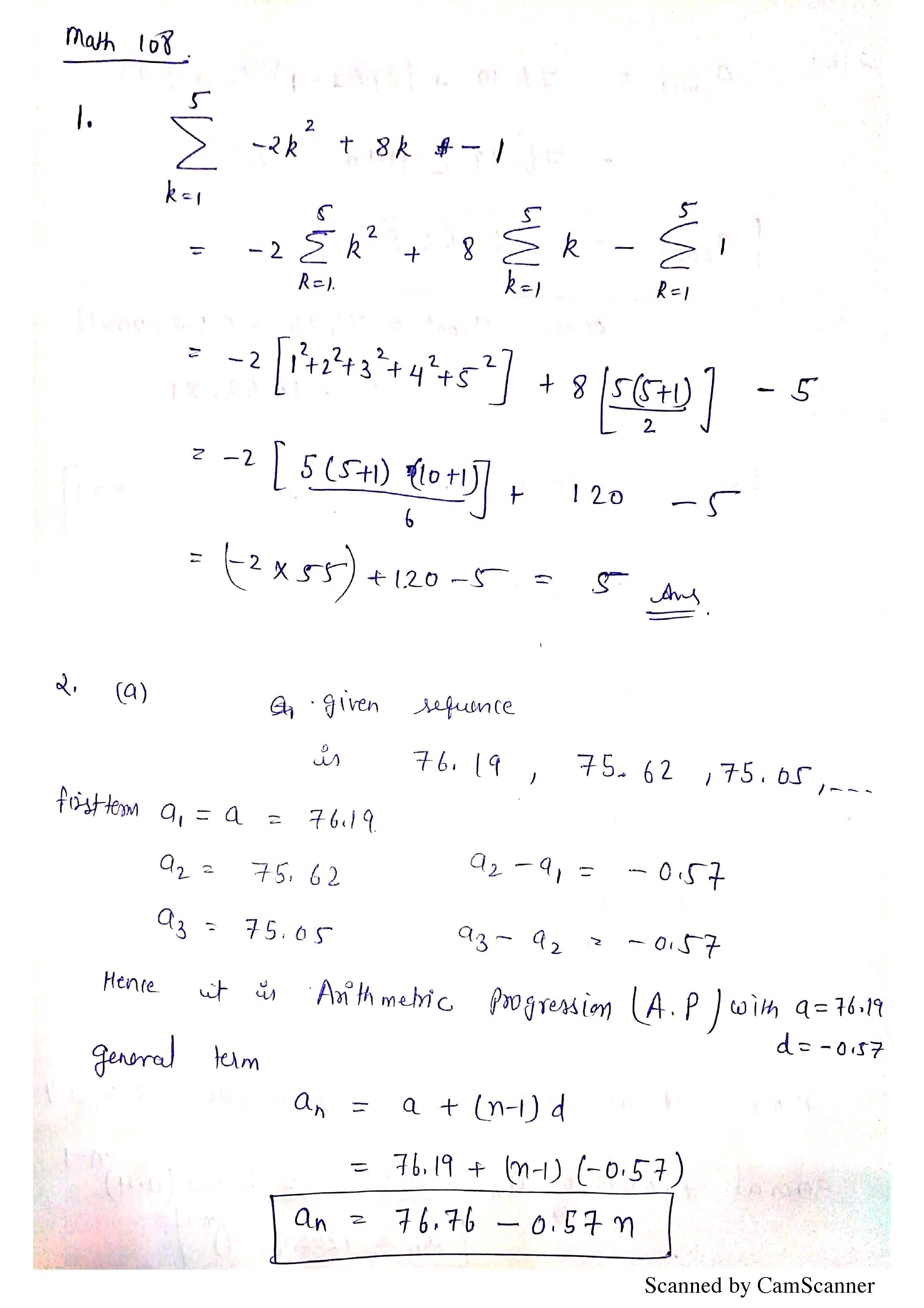
Problem 1. 2 pts. Evaluate the sum Problem 2. 6 pts. For the seque...
Problem 1. 2 pts. Evaluate the sum Problem 2. 6 pts. For the seque...