Subjects
Online Tutoring
Homework Help
Homework Library
Tutors
Online Classes
More
Bookstore
Blog
Technical Tips
FAQ
Contact Us
Get Help Now
Home
Homework Library
Physics
General Physics
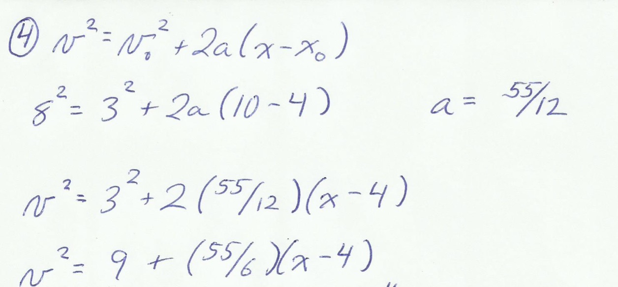
*12-4. A particle travels along a straight line with a constant ac...
*12-4. A particle travels along a straight line with a constant ac...