Subjects
Online Tutoring
Homework Help
Homework Library
Tutors
Online Classes
More
Bookstore
Blog
Technical Tips
FAQ
Contact Us
Get Help Now
Home
Homework Library
Physics
Physics - Other
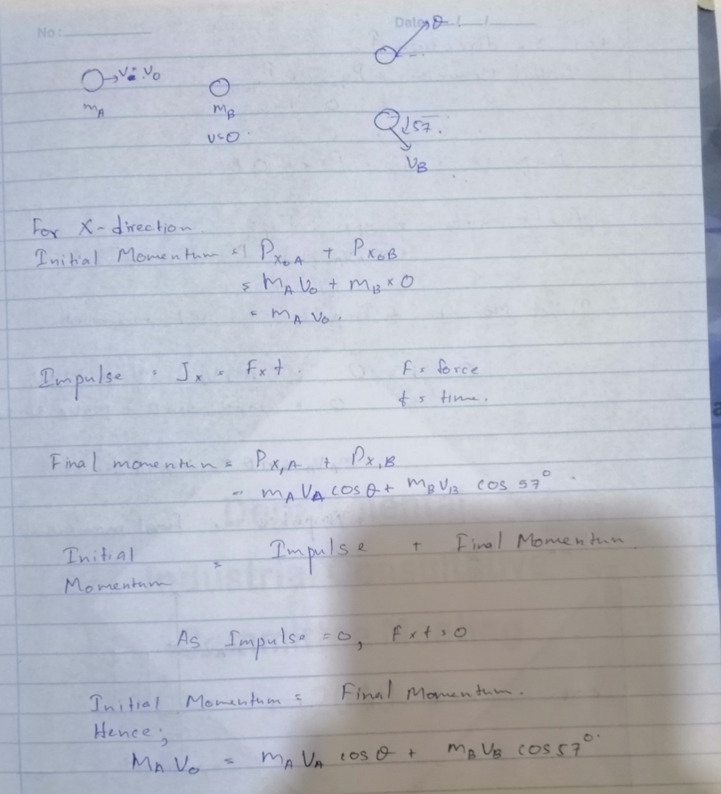
Tutorial- Lab 11 Cannon Firing a Shell 6.7 x-direction The diagram...
Tutorial- Lab 11 Cannon Firing a Shell 6.7 x-direction The diagram...