Subjects
Online Tutoring
Homework Help
Homework Library
Tutors
Online Classes
More
Bookstore
Blog
Technical Tips
FAQ
Contact Us
Get Help Now
Home
Homework Library
Physics
Relativity
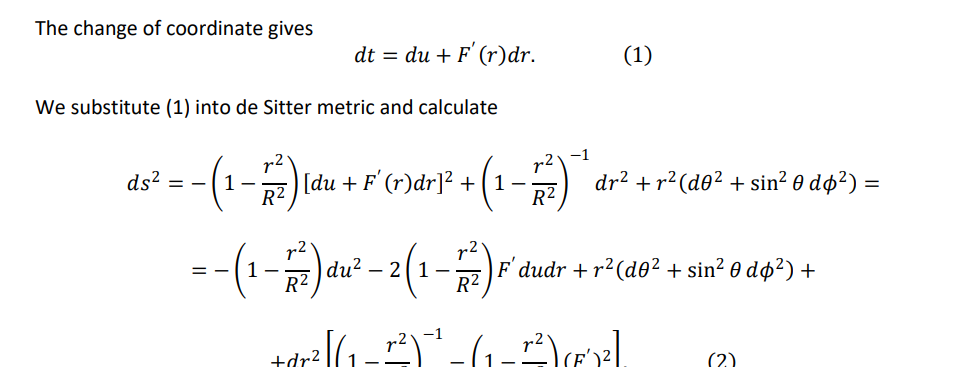
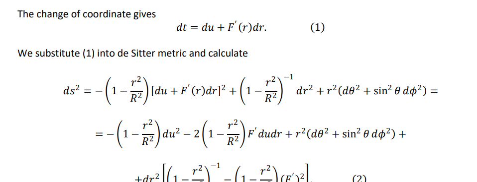
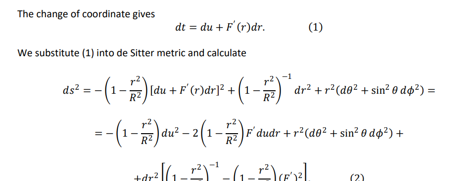
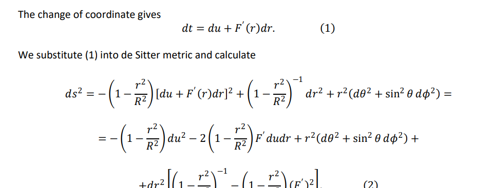
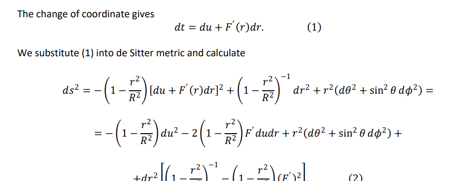
Problem I In static coordinates the de Sitter metric is 'dds)) w...
Problem I In static coordinates the de Sitter metric is 'dds)) w...