Subjects
Online Tutoring
Homework Help
Homework Library
Tutors
Online Classes
More
Bookstore
Blog
Technical Tips
FAQ
Contact Us
Get Help Now
Home
Homework Library
Physics
Thermodynamics
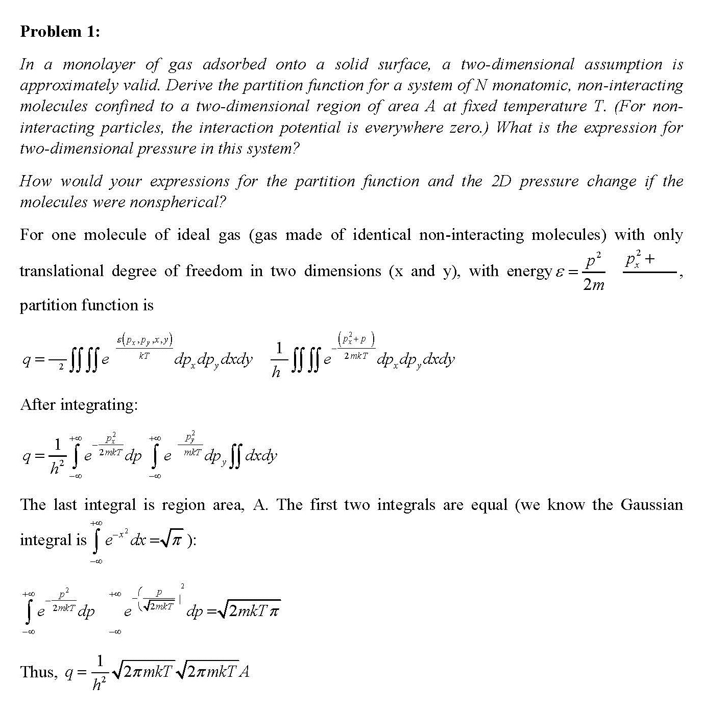
Problem 1: In a monolayer of gas adsorbed onto a solid surface, a ...
Problem 1: In a monolayer of gas adsorbed onto a solid surface, a...